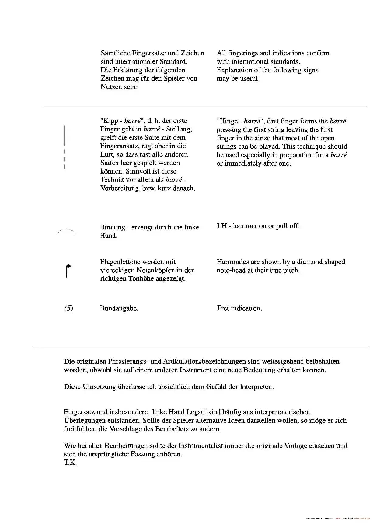
伊萨克·阿尔贝尼斯Isaac Albéniz (1860-1909)(西班牙)








Cordoba op.232 NO.4(吉他谱) 伊萨克·阿尔贝尼斯简谱歌词是曲谱查询网于2023年07月09日 22:26:17更新在吉他谱频道中的内容,收录在吉他谱栏目中;曲谱查询网分享的Cordoba op.232 NO.4(吉他谱) 伊萨克·阿尔贝尼斯简谱五线谱高清图片,欢迎在线免费下载;曲谱查询网无需注册,即可直接下载海量歌曲谱与乐器学习相关资料。
曲谱查询网收录古今中外海量歌曲谱,如歌曲简谱、乐曲五线谱、PDF乐谱、戏曲谱、器乐相关资源下载等,欢迎查阅!
伊萨克·阿尔贝尼斯Isaac Albéniz (1860-1909)(西班牙)








Cordoba op.232 NO.4(吉他谱) 伊萨克·阿尔贝尼斯简谱歌词是曲谱查询网于2023年07月09日 22:26:17更新在吉他谱频道中的内容,收录在吉他谱栏目中;曲谱查询网分享的Cordoba op.232 NO.4(吉他谱) 伊萨克·阿尔贝尼斯简谱五线谱高清图片,欢迎在线免费下载;曲谱查询网无需注册,即可直接下载海量歌曲谱与乐器学习相关资料。
本文分享吉他乐谱 Fernando Sor《12 Studies,Op.35》(STUDY 11),来源 转自《吉他时代论坛》, 词/曲, 演奏/唱,Lionel 编辑整理…...
2978 吉他谱 吉他六线谱 Op35本文分享吉他乐谱 谁不曾谁不想,来源 谱友徜徉上传,羽泉 羽泉 词/曲,羽泉 演奏/唱,仲仲 编辑整理…...
868 吉他谱 吉他六线谱 谁不曾谁不想 羽泉本文分享吉他乐谱 飞机 (尤克里里谱),来源 转自《尤克里里谱》, 词/曲,好妹妹乐队 演奏/唱,小红帽 编辑整理…Ukulele(尤克里里)在港台等地一般译作乌克丽丽,在大陆一般习惯称为尤克里里,是一种四弦夏威夷的拨弦乐器,发明于葡萄牙,盛行于夏威夷,归属在吉他乐器一族。...
478 吉他谱 吉他六线谱 飞机 好妹妹乐队| 留言与评论(共有 0 条评论) |
