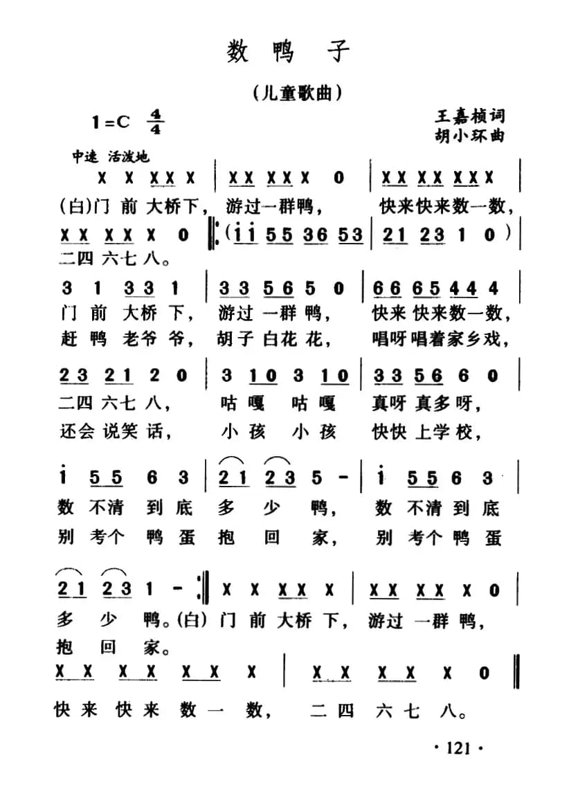
《数鸭子》是一首有五乐句构成的一段体歌曲,C大调,4/4拍,歌曲以“数鸭子”的形式劝诚少年儿童珍惜时光,好好学习。




数鸭子_儿歌乐谱_词曲:王嘉桢 胡小环简谱歌词是曲谱查询网于2023年05月31日 05:39:44更新在少儿歌谱频道中的内容,收录在少儿歌谱栏目中;曲谱查询网分享的数鸭子_儿歌乐谱_词曲:王嘉桢 胡小环简谱五线谱高清图片,欢迎在线免费下载;曲谱查询网无需注册,即可直接下载海量歌曲谱与乐器学习相关资料。
曲谱查询网收录古今中外海量歌曲谱,如歌曲简谱、乐曲五线谱、PDF乐谱、戏曲谱、器乐相关资源下载等,欢迎查阅!
《数鸭子》是一首有五乐句构成的一段体歌曲,C大调,4/4拍,歌曲以“数鸭子”的形式劝诚少年儿童珍惜时光,好好学习。




数鸭子_儿歌乐谱_词曲:王嘉桢 胡小环简谱歌词是曲谱查询网于2023年05月31日 05:39:44更新在少儿歌谱频道中的内容,收录在少儿歌谱栏目中;曲谱查询网分享的数鸭子_儿歌乐谱_词曲:王嘉桢 胡小环简谱五线谱高清图片,欢迎在线免费下载;曲谱查询网无需注册,即可直接下载海量歌曲谱与乐器学习相关资料。
| 留言与评论(共有 0 条评论) |
