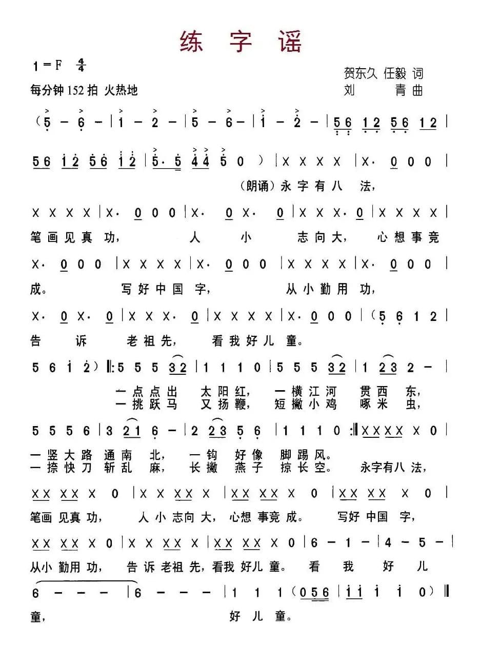
名称:练字谣
国家:中国
作词:贺东久、任毅
作曲:刘青
分类:歌谱
子类:儿歌谱
类型:简谱/五线谱
文件格式:jpg



《练字谣》文本歌词
(朗诵)
永字有八法,笔画见真功,人小志向大,心想事竟成。
写好中国字,从小勤用功,告诉老祖先,看我好儿童。
(演唱)
一点点出太阳红 一横江河贯西东 一竖大路通南北 一钩好象脚踢风
一挑跃马又扬鞭 短撇小鸡啄米虫 一捺快刀斩乱麻 长撇燕子掠长空
(朗诵)
永字有八法,笔画见真功,人小志向大,心想事竟成。
写好中国字,从小勤用功,告诉老祖先,看我好儿童。
(演唱)
一点点出太阳红 一横江河贯西东 一竖大路通南北 一钩好象脚踢风
一挑跃马又扬鞭 短撇小鸡啄米虫 一捺快刀斩乱麻 长撇燕子掠长空
(朗诵)
永字有八法,笔画见真功,人小志向大,心想事竟成。
写好中国字,从小勤用功,告诉老祖先,看我好儿童,看我好儿童,好儿童。












