
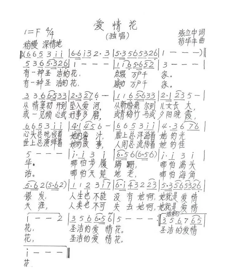
爱情花_歌谱投稿_词曲:张立中 苟华丰简谱歌词是曲谱查询网于2023年04月30日 01:46:15更新在曲谱投稿频道中的内容,收录在曲谱投稿栏目中;曲谱查询网分享的爱情花_歌谱投稿_词曲:张立中 苟华丰简谱五线谱高清图片,欢迎在线免费下载;曲谱查询网无需注册,即可直接下载海量歌曲谱与乐器学习相关资料。
曲谱查询网收录古今中外海量歌曲谱,如歌曲简谱、乐曲五线谱、PDF乐谱、戏曲谱、器乐相关资源下载等,欢迎查阅!

爱情花_歌谱投稿_词曲:张立中 苟华丰简谱歌词是曲谱查询网于2023年04月30日 01:46:15更新在曲谱投稿频道中的内容,收录在曲谱投稿栏目中;曲谱查询网分享的爱情花_歌谱投稿_词曲:张立中 苟华丰简谱五线谱高清图片,欢迎在线免费下载;曲谱查询网无需注册,即可直接下载海量歌曲谱与乐器学习相关资料。
本文分享来自 谢伟 的歌谱 心中的旗(汤昭智词 谢伟曲),词/曲 汤昭智 谢伟,演唱 …欢迎免费下载心中的旗(汤昭智词 谢伟曲)乐谱、乐曲、伴奏,...
913 心中的旗 汤昭智 谢伟本文分享来自 罗林斯乐器 的歌谱 重来如梦,词/曲 周仁 谱曲:林沛涌;编曲:胡逸廷,演唱 陈瑞…欢迎免费下载重来如梦乐谱、乐曲、伴奏,...
998 重来如梦 周仁 谱曲:林沛涌;编曲:胡逸廷 陈瑞本文分享来自 秋叶起舞 的歌谱 向祖国举起祝福的酒杯,词/曲 谭仲池 龙伟华,演唱 谭晶…欢迎免费下载向祖国举起祝福的酒杯乐谱、乐曲、伴奏,致谢:《曲谱查询网》衷心感谢作者老师馈赠原版歌谱!...
891 向祖国举起祝福的酒杯 谭仲池 龙伟华 谭晶 祖国本文分享来自 牧歌《图画之声》 的歌谱 赞美你,春蚕,词/曲 牧歌 张先辟,演唱 …欢迎免费下载赞美你,春蚕乐谱、乐曲、伴奏,...
356 赞美你 春蚕 牧歌 张先辟本文分享来自 秋叶起舞 的歌谱 故乡的小路(李秀军词 朱加农曲),词/曲 李秀军 朱加农,演唱 …欢迎免费下载故乡的小路(李秀军词 朱加农曲)乐谱、乐曲、伴奏,...
680 故乡的小路 李秀军 朱加农本文展示由吕永新 记制谱记谱的歌谱 爱在远方,词/曲 忧悠倦云 枫桥,演唱 Kellie…欢迎免费试听爱在远方乐曲,下载歌曲的乐谱与伴奏。http://5sing.kugou.com/6029736/default.htmlMP3试听:http://5sing.kugou.com/yc/668456...
42 爱在远方 忧悠倦云 枫桥Kellie本文分享来自 丑歌srm 的歌谱 辘轳汉子(男声独唱),词/曲 陈,忠 施仁明,演唱 歆 童…欢迎免费下载辘轳汉子(男声独唱)乐谱、乐曲、伴奏,...
209 辘轳汉子 陈 忠 施仁明本文分享来自 热爱音乐88 的歌谱 撒欢的笑(电视剧《大雪小雪又一年》插曲),词/曲 张藜 张振国,演唱 李殊…欢迎免费下载撒欢的笑(电视剧《大雪小雪又一年》插曲)乐谱、乐曲、伴奏,...
258 撒欢的笑 张藜 张振国 李殊本文分享来自 雅欣1956 的歌谱 岁月啊!岁月,词/曲 国 珍 谢福民 谢福民,演唱 …欢迎免费下载岁月啊!岁月乐谱、乐曲、伴奏,...
311 岁月啊!岁月 谢福民本文分享来自 沉舟侧畔过 的歌谱 最美中国红(许冬子词 张艺军曲),词/曲 许冬子 张艺军,演唱 …欢迎免费下载最美中国红(许冬子词 张艺军曲)乐谱、乐曲、伴奏,...
363 最美中国红 许冬子 张艺军 最美中国本文分享来自 艾惠秀 的歌谱 墨韵方宅(浦江方宅歌曲),词/曲 方扬松 艾惠秀,演唱 …欢迎免费下载墨韵方宅(浦江方宅歌曲)乐谱、乐曲、伴奏,...
526 墨韵方宅 方扬松 艾惠秀本文展示由秋叶起舞 记谱上传记谱的歌谱 风吹草原,词/曲 张定国 达赖,演唱 德德玛…欢迎免费试听风吹草原乐曲,下载歌曲的乐谱与伴奏。...
186 风吹草原 张定国 达赖 德德玛| 留言与评论(共有 0 条评论) |
