
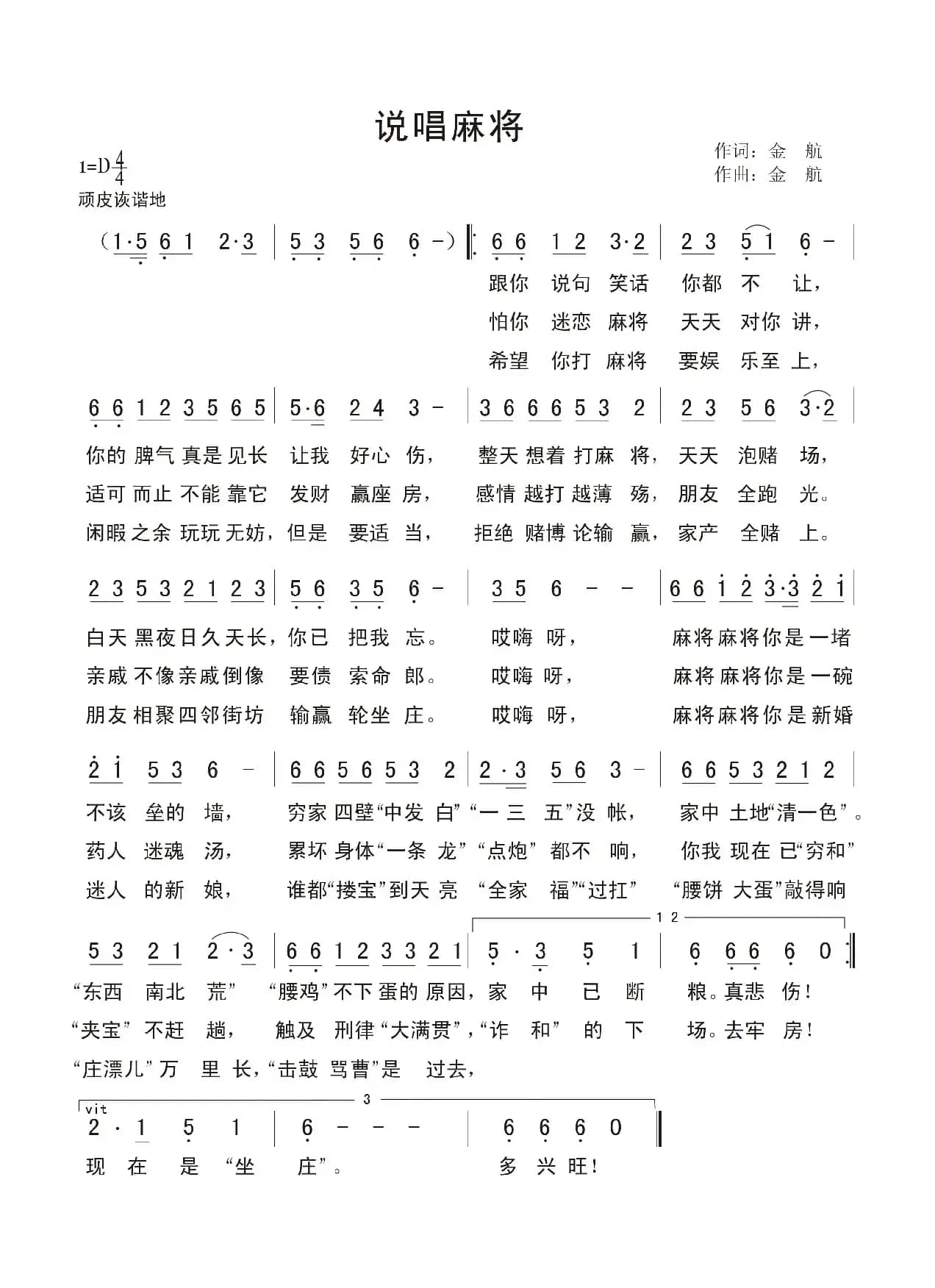
说唱麻将_歌谱投稿_词曲:金航 金航简谱歌词是曲谱查询网于2023年04月29日 09:35:08更新在曲谱投稿频道中的内容,收录在曲谱投稿栏目中;曲谱查询网分享的说唱麻将_歌谱投稿_词曲:金航 金航简谱五线谱高清图片,欢迎在线免费下载;曲谱查询网无需注册,即可直接下载海量歌曲谱与乐器学习相关资料。
曲谱查询网收录古今中外海量歌曲谱,如歌曲简谱、乐曲五线谱、PDF乐谱、戏曲谱、器乐相关资源下载等,欢迎查阅!

说唱麻将_歌谱投稿_词曲:金航 金航简谱歌词是曲谱查询网于2023年04月29日 09:35:08更新在曲谱投稿频道中的内容,收录在曲谱投稿栏目中;曲谱查询网分享的说唱麻将_歌谱投稿_词曲:金航 金航简谱五线谱高清图片,欢迎在线免费下载;曲谱查询网无需注册,即可直接下载海量歌曲谱与乐器学习相关资料。
本文展示由爱乐 制谱上传记谱的歌谱 沧海桑田(董玉芳词 邵兵曲),词/曲 董玉芳 邵兵,演唱 梅朵措…欢迎免费试听沧海桑田(董玉芳词 邵兵曲)乐曲,下载歌曲的乐谱与伴奏。MP3:http://yc.5sing.com/620730.htmlMV:http://www.56.com/u86/v_NT...
329 沧海桑田 董玉芳 邵兵梅朵措本文分享来自 书奴 的歌谱 My Destiny(吉他弹唱版),词/曲 Jeon Chang Yeop Lin Byung Yong,演唱 李世真(LYn)…欢迎免费下载My Destiny(吉他弹唱版)乐谱、乐曲、伴奏,《My Destiny》是由韩国女歌手李世真(LYn)演唱,由韩国SBS电视台...
269 李世真(LYn)本文分享来自 樱花霰弹枪 的歌谱 水调歌头·明月几时有 正谱(原F调),词/曲 苏轼 陆在易,演唱 …欢迎免费下载水调歌头·明月几时有 正谱(原F调)乐谱、乐曲、伴奏,曲谱过大,建议缩小至85%---90%打印MV欣赏:https://www.bilibili.com/video/BV1Py4y16...
72 苏轼 陆在易本文展示由天恩记谱记谱的歌谱 一片情怀为了谁(电影【梁祝新传】插曲),词/曲 宋小明 武嘉冀,演唱 胡慧中…欢迎免费试听一片情怀为了谁(电影【梁祝新传】插曲)乐曲,下载歌曲的乐谱与伴奏。...
869 一片情怀为了谁 宋小明 武嘉冀胡慧中 情怀本文展示由爱乐 制谱上传记谱的歌谱 把爱带回家(王晓岭词 孟勇曲、线简谱混排版),词/曲 王晓岭 孟勇,演唱 王喆…欢迎免费试听把爱带回家(王晓岭词 孟勇曲、线简谱混排版)乐曲,下载歌曲的乐谱与伴奏。...
684 把爱带回家 王晓岭 孟勇王喆本文展示由原创作品记谱的歌谱 山中的小蓝花(二胡、女声与乐队二胡分谱),词/曲 毛诗奇 聂思聪,演唱 …欢迎免费试听山中的小蓝花(二胡、女声与乐队二胡分谱)乐曲,下载歌曲的乐谱与伴奏。...
820 山中的小蓝花 毛诗奇 聂思聪本文分享来自 江湖游318 的歌谱 浪子闲话(简谱),词/曲 周仁 花僮,演唱 花僮…欢迎免费下载浪子闲话(简谱)乐谱、乐曲、伴奏,...
597 浪子闲话 周仁 花僮本文分享来自 凡土 的歌谱 敢问路在何方(陶笛简谱),词/曲 阎肃 许镜清,演唱 …欢迎免费下载敢问路在何方(陶笛简谱)乐谱、乐曲、伴奏,...
253 敢问路在何方 阎肃 许镜清本文分享来自 石头坑 的歌谱 永远跟党走(石头坑打谱),词/曲 王磊 孟庆云,演唱 刘一祯…欢迎免费下载永远跟党走(石头坑打谱)乐谱、乐曲、伴奏,...
587 永远跟党走 王磊 孟庆云 刘一祯本文展示由乐友sunzp 抄谱上传|记谱的歌谱 渔家四季尽春光,词/曲 ,演唱 唐彪、黄红英…欢迎免费试听渔家四季尽春光乐曲,下载歌曲的乐谱与伴奏。...
73 渔家四季尽春光唐彪 黄红英本文分享来自 报之以歌 的歌谱 幸福要靠奋斗来,词/曲 陈晓涛 甘霖,演唱 陈海涛…欢迎免费下载幸福要靠奋斗来乐谱、乐曲、伴奏,歌曲《幸福要靠奋斗来》形象而生动地诠释了“幸福都是靠奋斗出来的”这一号召和深刻主题,深情礼赞了朴素而崇高的奋斗情怀,唱出了亿万人民群众团结奋斗、向往美好幸福生活的炽热心声和...
719 幸福要靠奋斗来 陈晓涛 甘霖 陈海涛本文展示由爱乐 制谱上传记谱的歌谱 红红的中国结(陈建新词 肖雅瑜曲、线简谱对照版),词/曲 陈建新 肖雅瑜,演唱 王丽达…欢迎免费试听红红的中国结(陈建新词 肖雅瑜曲、线简谱对照版)乐曲,下载歌曲的乐谱与伴奏。...
59 红红的中国结 陈建新 肖雅瑜 王丽达| 留言与评论(共有 0 条评论) |
