

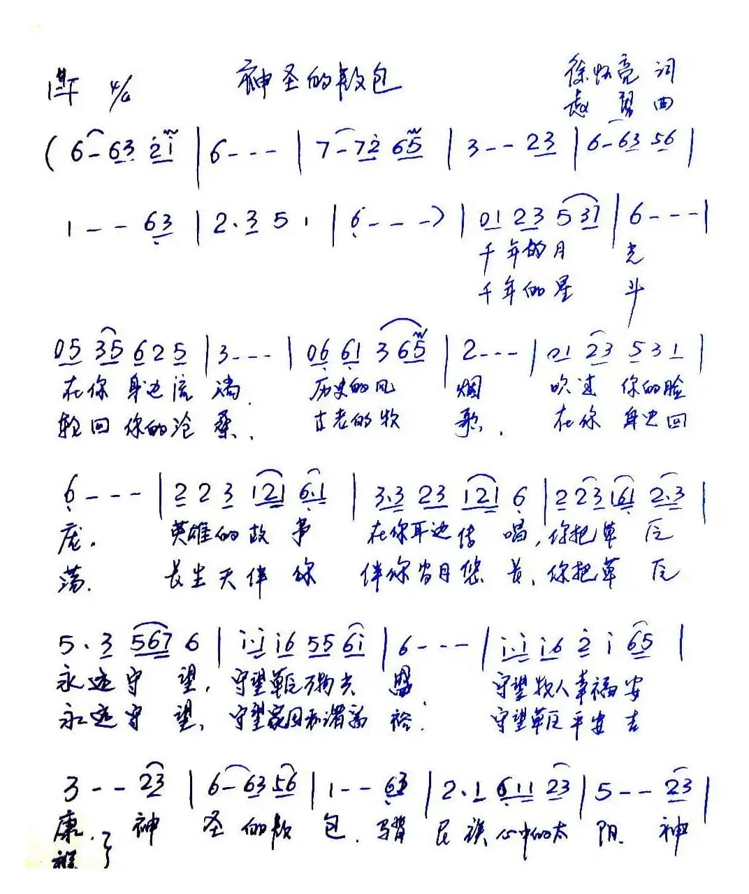
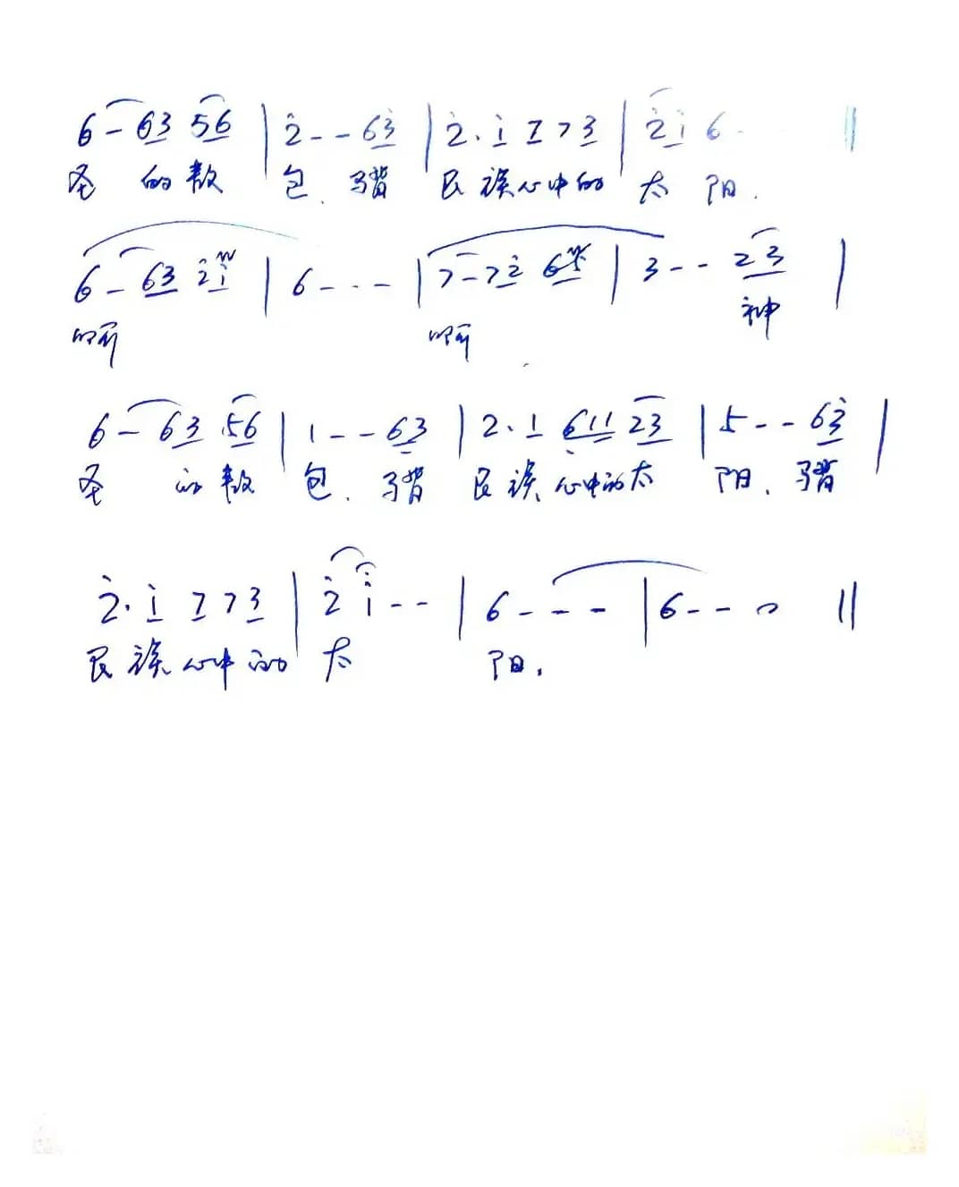
神圣的敖包_歌谱投稿_词曲:徐怀亮 赵勇简谱歌词是曲谱查询网于2023年04月26日 12:31:40更新在曲谱投稿频道中的内容,收录在曲谱投稿栏目中;曲谱查询网分享的神圣的敖包_歌谱投稿_词曲:徐怀亮 赵勇简谱五线谱高清图片,欢迎在线免费下载;曲谱查询网无需注册,即可直接下载海量歌曲谱与乐器学习相关资料。
曲谱查询网收录古今中外海量歌曲谱,如歌曲简谱、乐曲五线谱、PDF乐谱、戏曲谱、器乐相关资源下载等,欢迎查阅!


神圣的敖包_歌谱投稿_词曲:徐怀亮 赵勇简谱歌词是曲谱查询网于2023年04月26日 12:31:40更新在曲谱投稿频道中的内容,收录在曲谱投稿栏目中;曲谱查询网分享的神圣的敖包_歌谱投稿_词曲:徐怀亮 赵勇简谱五线谱高清图片,欢迎在线免费下载;曲谱查询网无需注册,即可直接下载海量歌曲谱与乐器学习相关资料。
本文展示由君羊 制谱记谱的歌谱 迎宾曲(刘文玉词 雷雨声曲),词/曲 刘文玉 雷雨声,演唱 卓依婷…欢迎免费试听迎宾曲(刘文玉词 雷雨声曲)乐曲,下载歌曲的乐谱与伴奏。女声独唱...
447 迎宾曲 刘文玉 雷雨声卓依婷本文展示由秋叶起舞 记谱上传记谱的歌谱 一路阳光到草原,词/曲 周兵 石焱,演唱 云龙…欢迎免费试听一路阳光到草原乐曲,下载歌曲的乐谱与伴奏。MP试听:http://yc.5sing.com/1061008.html歌词:《一路阳光到草原》作词:周兵作曲 石焱编曲 方辉录音 冯丹混音 周晓...
870 一路阳光到草原 周兵 石焱云龙本文分享来自 张锐锋 的歌谱 深深的牵挂,词/曲 王改瑛 张锐锋,演唱 …欢迎免费下载深深的牵挂乐谱、乐曲、伴奏,致谢:《曲谱查询网》衷心感谢谱友上传歌谱!...
842 深深的牵挂 王改瑛 张锐锋本文分享来自 七十年代兵 的歌谱 太阳最红 毛主席最亲(三重唱),词/曲 ,演唱 梦之旅…欢迎免费下载太阳最红 毛主席最亲(三重唱)乐谱、乐曲、伴奏,梦之旅组合由女高音、女中音和男中音组成,以极高的艺术成就广受喜爱。其乐谱似乎没有出版。网上有记谱出售的,经校对,仅其公布的第一页就有错,不可信。所以...
704 梦之旅本文分享来自 不动产 的歌谱 问好歌(黄圣尧 徐梓露 ),词/曲 黄圣尧,徐梓露 黄圣尧 徐梓露,演唱 徐梓露…欢迎免费下载问好歌(黄圣尧 徐梓露 )乐谱、乐曲、伴奏,...
357 问好歌 黄圣尧 徐梓露本文分享来自 秋叶起舞 的歌谱 大好河山张家口(郑宝光词 张艺军曲),词/曲 郑宝光 张艺军,演唱 …欢迎免费下载大好河山张家口(郑宝光词 张艺军曲)乐谱、乐曲、伴奏,致谢:《曲谱查询网》衷心感谢作者老师馈赠原版歌谱!...
462 大好河山张家口 郑宝光 张艺军本文分享来自 燕子 的歌谱 曲水流觞(蒋燕 词曲),词/曲 蒋燕,词 蒋燕 曲,演唱 …欢迎免费下载曲水流觞(蒋燕 词曲)乐谱、乐曲、伴奏,《曲水流觞》文本歌词 酒余何所事?曲水可流觞。 一赋传青史,再书文墨香。 三月三日风轻扬,飞杯流盏清溪长。 一杯除祸一杯赋,一盏风流舞玄裳...
46 曲水流觞 蒋燕 词本文展示由爱乐 制谱上传记谱的歌谱 风(电影《战国》主题曲 [线、简谱混排版]),词/曲 方文山 神思者,演唱 景甜…欢迎免费试听风(电影《战国》主题曲 [线、简谱混排版])乐曲,下载歌曲的乐谱与伴奏。MV:http://ent.tom.com/2011-03-29/001Q/85710325.ht...
442 风 方文山 神思者景甜本文分享来自 兴原 的歌谱 听闻远方有你,词/曲 刘钧 刘钧,演唱 刘钧…欢迎免费下载听闻远方有你乐谱、乐曲、伴奏,《听闻远方有你》文本歌词听闻远方有你作词:刘钧作曲:刘钧编曲:刘钧演唱:刘钧听闻远方有你动身跋涉千里追逐沿途的风景还带着你的呼吸真的难以忘记关于你的消息陪你走过南北东西相随永无别离可不...
306 听闻远方有你 刘钧本文展示由赵寒阳《二胡中级教程》记谱的歌谱 怀乡曲(二胡独奏曲),词/曲 王国潼,演唱 …欢迎免费试听怀乡曲(二胡独奏曲)乐曲,下载歌曲的乐谱与伴奏。宋飞讲解并示范MV欣赏:http://www.tudou.com/programs/view/gAknq4R5KfQ...
16 怀乡曲 王国潼| 留言与评论(共有 0 条评论) |
