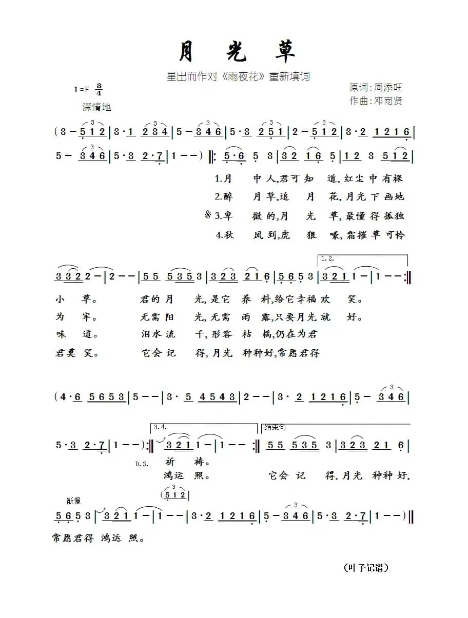
星出而作对《夜雨花》重新填词

月光草_歌谱投稿_词曲:星出而作 邓雨贤简谱歌词是曲谱查询网于2023年04月24日 13:28:23更新在曲谱投稿频道中的内容,收录在曲谱投稿栏目中;曲谱查询网分享的月光草_歌谱投稿_词曲:星出而作 邓雨贤简谱五线谱高清图片,欢迎在线免费下载;曲谱查询网无需注册,即可直接下载海量歌曲谱与乐器学习相关资料。
曲谱查询网收录古今中外海量歌曲谱,如歌曲简谱、乐曲五线谱、PDF乐谱、戏曲谱、器乐相关资源下载等,欢迎查阅!
星出而作对《夜雨花》重新填词

月光草_歌谱投稿_词曲:星出而作 邓雨贤简谱歌词是曲谱查询网于2023年04月24日 13:28:23更新在曲谱投稿频道中的内容,收录在曲谱投稿栏目中;曲谱查询网分享的月光草_歌谱投稿_词曲:星出而作 邓雨贤简谱五线谱高清图片,欢迎在线免费下载;曲谱查询网无需注册,即可直接下载海量歌曲谱与乐器学习相关资料。
本文分享来自 尚显锡 的歌谱 这就是毕节,词/曲 汤宇华 尚显锡,演唱 …欢迎免费下载这就是毕节乐谱、乐曲、伴奏,...
926 这就是毕节 汤宇华 尚显锡本文分享来自 沉香21 的歌谱 作边区的后盾,词/曲 王琴声 陈志昂,演唱 …欢迎免费下载作边区的后盾乐谱、乐曲、伴奏,...
53 作边区的后盾 王琴声 陈志昂本文分享来自 高音教 的歌谱 周杰伦《说好不哭》吉他谱吉他弹唱教学G调标准版 高音教,词/曲 ,演唱 …欢迎免费下载周杰伦《说好不哭》吉他谱吉他弹唱教学G调标准版 高音教乐谱、乐曲、伴奏,...
754本文展示由秋叶起舞 记谱上传记谱的歌谱 秋水长天(梁光明词 翁清溪曲),词/曲 梁光明 翁清溪,演唱 王芷蕾…欢迎免费试听秋水长天(梁光明词 翁清溪曲)乐曲,下载歌曲的乐谱与伴奏。请点击此链接:http://wma.qq530.com/gm/10994/1.wma...
557 秋水长天 梁光明 翁清溪王芷蕾本文展示由神仙姐姐记谱记谱的歌谱 爱情里没有谁对谁错,词/曲 巴图 巴图,演唱 郑源…欢迎免费试听爱情里没有谁对谁错乐曲,下载歌曲的乐谱与伴奏。...
522 爱情里没有谁对谁错 巴图 郑源本文分享来自 车里子 的歌谱 不忘我是谁(石作良词 朱加农曲),词/曲 石作良 朱加农,演唱 …欢迎免费下载不忘我是谁(石作良词 朱加农曲)乐谱、乐曲、伴奏,...
843 不忘我是谁 石作良 朱加农本文分享来自 魏伊迩 的歌谱 望一眼都要心醉,词/曲 邱仲彭 邱仲彭,演唱 …欢迎免费下载望一眼都要心醉乐谱、乐曲、伴奏,...
478 望一眼都要心醉 邱仲彭本文分享来自 热爱音乐88 的歌谱 母子情深(十三狼词曲),词/曲 十三狼 十三狼,演唱 十三狼…欢迎免费下载母子情深(十三狼词曲)乐谱、乐曲、伴奏,...
523 母子情深 十三狼本文分享来自 ~金沙浪~ 的歌谱 忆难忘,词/曲 李旭辉 宋文彪,演唱 张远平…欢迎免费下载忆难忘乐谱、乐曲、伴奏,...
62 忆难忘 李旭辉 宋文彪 张远平本文分享来自 浩淋制谱8989 的歌谱 公社社员运粮忙(扬琴分谱),词/曲 陆金山冯国泉 ,演唱 …欢迎免费下载公社社员运粮忙(扬琴分谱)乐谱、乐曲、伴奏,...
995 公社社员运粮忙 陆金山冯国泉本文分享来自 毓新 的歌谱 杜鹃花开 ,词/曲 竹笛 竹笛,演唱 王惠…欢迎免费下载杜鹃花开 乐谱、乐曲、伴奏,《杜鹃花开 》文本歌词杜鹃啊杜鹃满山红艳艳映红了战旗映红了天红红火火的大别山火红的杜鹃那是青春争艳映红军徽照日月日月换新天山河更灿烂山河更灿烂杜鹃啊杜鹃笑的多...
28 杜鹃花开 竹笛 王惠| 留言与评论(共有 0 条评论) |
