
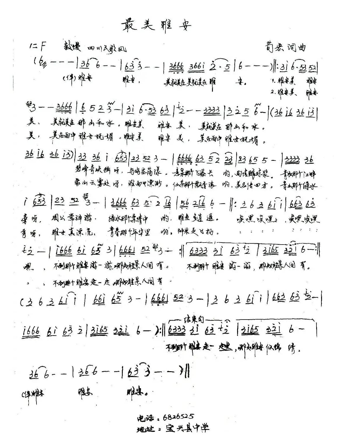
最美雅安_歌谱投稿_词曲:苟宏 苟宏简谱歌词是曲谱查询网于2023年04月23日 08:43:07更新在曲谱投稿频道中的内容,收录在曲谱投稿栏目中;曲谱查询网分享的最美雅安_歌谱投稿_词曲:苟宏 苟宏简谱五线谱高清图片,欢迎在线免费下载;曲谱查询网无需注册,即可直接下载海量歌曲谱与乐器学习相关资料。
曲谱查询网收录古今中外海量歌曲谱,如歌曲简谱、乐曲五线谱、PDF乐谱、戏曲谱、器乐相关资源下载等,欢迎查阅!

最美雅安_歌谱投稿_词曲:苟宏 苟宏简谱歌词是曲谱查询网于2023年04月23日 08:43:07更新在曲谱投稿频道中的内容,收录在曲谱投稿栏目中;曲谱查询网分享的最美雅安_歌谱投稿_词曲:苟宏 苟宏简谱五线谱高清图片,欢迎在线免费下载;曲谱查询网无需注册,即可直接下载海量歌曲谱与乐器学习相关资料。
本文分享来自 星梦cao 的歌谱 上园晋好(北京交通大学山西寒招团团歌),词/曲 何昊龙 曹子昂,演唱 曹子昂…欢迎免费下载上园晋好(北京交通大学山西寒招团团歌)乐谱、乐曲、伴奏,...
877 上园晋好 何昊龙 曹子昂本文分享来自 高音教 的歌谱 《北京北京》吉他谱C调入门版 汪峰 高音教编配 猴哥吉他教学,词/曲 ,演唱 …欢迎免费下载《北京北京》吉他谱C调入门版 汪峰 高音教编配 猴哥吉他教学乐谱、乐曲、伴奏,...
427本文分享来自 长江一桥 的歌谱 桃花溪(毒恋/飞歌),词/曲 李刽武 静谷幽兰,演唱 毒恋/飞歌…欢迎免费下载桃花溪(毒恋/飞歌)乐谱、乐曲、伴奏,...
66 桃花溪 李刽武 静谷幽兰本文分享来自 曲水悠悠2 的歌谱 今生不想失去你,词/曲 吴发林 吴发林,演唱 蒋婴…欢迎免费下载今生不想失去你乐谱、乐曲、伴奏,...
52 今生不想失去你 吴发林 蒋婴本文分享来自 黄钦海 的歌谱 喜事好运滚滚来(客家方言演唱),词/曲 徐秋菊 徐秋菊,演唱 徐秋菊…欢迎免费下载喜事好运滚滚来(客家方言演唱)乐谱、乐曲、伴奏,曲谱介绍:在来自各方客家乡亲欢聚时刻,心情愉快,把最美好的山歌和美酒棒出来,并送上美好的祝愿。原创作的专利号:ISRC CN-F18-17-...
442 喜事好运滚滚来 徐秋菊本文展示由谱友艾曲人上传记谱的歌谱 雪域阳光(八孔葫芦丝独奏),词/曲 李承功编曲 李承功编曲,演唱 李承功示范或者高心钰…欢迎免费试听雪域阳光(八孔葫芦丝独奏)乐曲,下载歌曲的乐谱与伴奏。...
658 雪域阳光 李承功编曲 李承功编曲李承功示范或者高心钰本文分享来自 热爱音乐88 的歌谱 心往韩城,词/曲 许锐 马上又,演唱 韩磊…欢迎免费下载心往韩城乐谱、乐曲、伴奏,...
93 心往韩城 许锐 马上又 韩磊本文分享来自 lnxzgzcz163 的歌谱 那一年我十七岁,词/曲 ,演唱 朱晓琳…欢迎免费下载那一年我十七岁乐谱、乐曲、伴奏,《那一年我十七岁》文本歌词朱晓琳 - 那一年我十七岁台湾流行歌曲背起行囊穿起那条发白的牛仔裤装着若有其事的告别告诉妈妈我想我想离家出游几天妈妈笑着对我说别忘了回家的路站...
89 那一年我十七岁 朱晓琳本文展示由秋叶起舞记谱上传记谱的歌谱 岁月中秋,词/曲 德阿古楞 博·玛格斯日扎,演唱 范海荣…欢迎免费试听岁月中秋乐曲,下载歌曲的乐谱与伴奏。歌曲在:1、http://music.baidu.com/song/2054354 2、http://www.kuwo.cn/yinyue/231415/...
404 岁月中秋 德阿古楞 博·玛格斯日扎范海荣本文分享来自 高音教 的歌谱 《侧脸》吉他谱G调精华版 于果 高音教编配,词/曲 ,演唱 …欢迎免费下载《侧脸》吉他谱G调精华版 于果 高音教编配乐谱、乐曲、伴奏,...
513本文分享来自 罗林斯乐器 的歌谱 三百六十五里路,词/曲 谭健常 小轩,演唱 文章…欢迎免费下载三百六十五里路乐谱、乐曲、伴奏,...
142 三百六十五里路 谭健常 小轩 文章本文分享来自 汤子健 的歌谱 醉朦胧,词/曲 醉朦胧 子健 子健,演唱 子健…欢迎免费下载醉朦胧乐谱、乐曲、伴奏,《醉朦胧》文本歌词 醉朦胧作词:醉朦胧 子健 作曲:子健编曲:子 健 演唱:子健一曲红颜吟,三两清酒温。清风笑明月,佳人醉朦胧。清风何时爽,明月哪日明?丛中花似笑,江上雾...
757 醉朦胧 子健本文展示由秋叶起舞 记谱上传记谱的歌谱 火火的爱,词/曲 孙淑华 聂俊峰,演唱 蓝琪儿…欢迎免费试听火火的爱乐曲,下载歌曲的乐谱与伴奏。出品:北京盛世博亚文化传播有限公司试听地址:http://yc.5sing.com/835306.html歌词:《火火的爱》演唱:蓝琪儿作词:孙淑华作曲:聂俊...
988 火火的爱 孙淑华 聂俊峰蓝琪儿| 留言与评论(共有 0 条评论) |
