
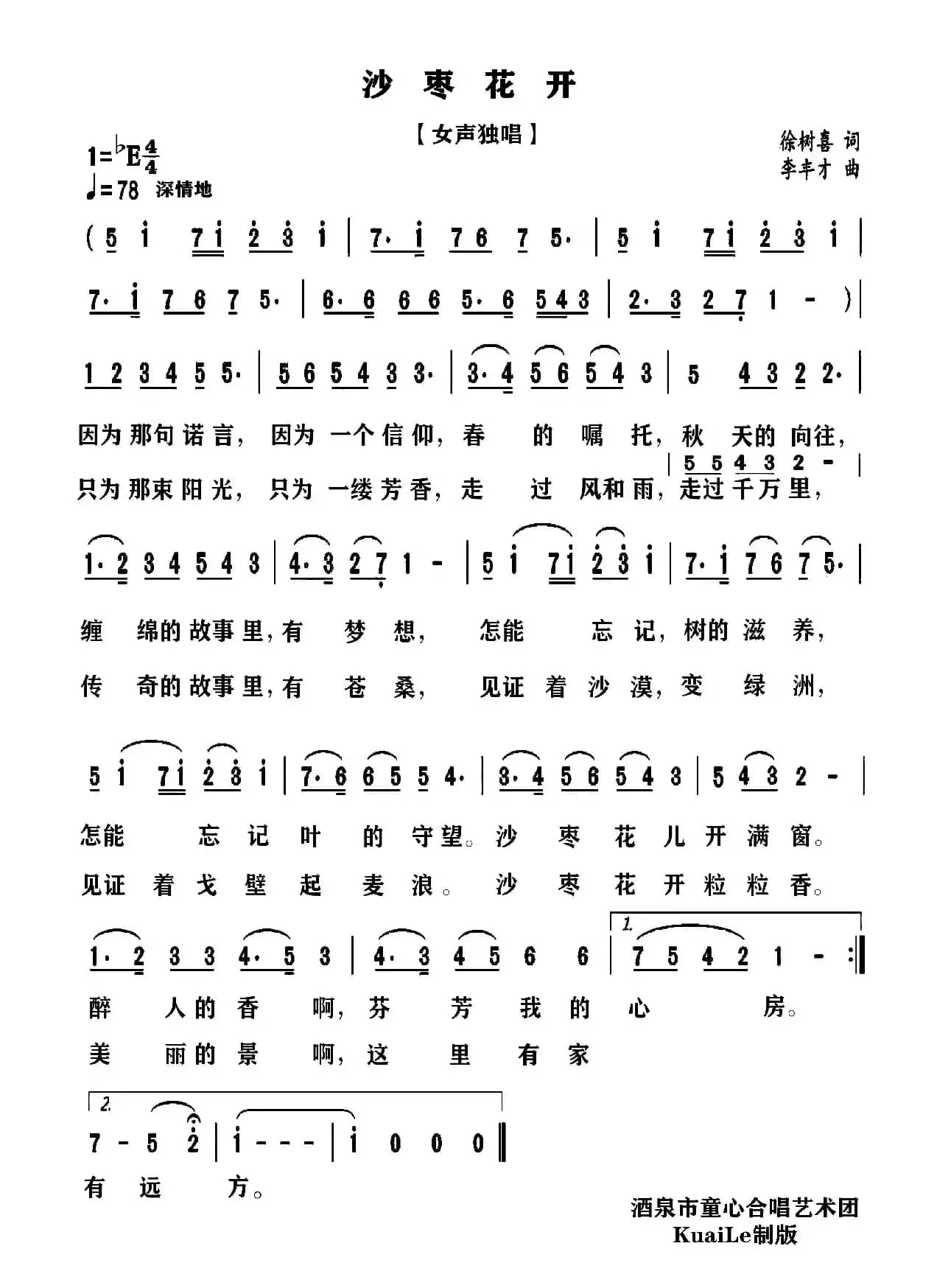
沙枣花开_歌谱投稿_词曲:徐树喜 李丰才简谱歌词是曲谱查询网于2023年04月14日 13:06:55更新在曲谱投稿频道中的内容,收录在曲谱投稿栏目中;曲谱查询网分享的沙枣花开_歌谱投稿_词曲:徐树喜 李丰才简谱五线谱高清图片,欢迎在线免费下载;曲谱查询网无需注册,即可直接下载海量歌曲谱与乐器学习相关资料。
曲谱查询网收录古今中外海量歌曲谱,如歌曲简谱、乐曲五线谱、PDF乐谱、戏曲谱、器乐相关资源下载等,欢迎查阅!

沙枣花开_歌谱投稿_词曲:徐树喜 李丰才简谱歌词是曲谱查询网于2023年04月14日 13:06:55更新在曲谱投稿频道中的内容,收录在曲谱投稿栏目中;曲谱查询网分享的沙枣花开_歌谱投稿_词曲:徐树喜 李丰才简谱五线谱高清图片,欢迎在线免费下载;曲谱查询网无需注册,即可直接下载海量歌曲谱与乐器学习相关资料。
本文展示由秋叶起舞 记谱上传记谱的歌谱 你的爱无处不在(石顺义词 桑楠曲),词/曲 石顺义 桑楠,演唱 常思思…欢迎免费试听你的爱无处不在(石顺义词 桑楠曲)乐曲,下载歌曲的乐谱与伴奏。《你的爱无处不在》文本歌词《你的爱无处不在》演唱:常思思作词:石顺义作曲:桑楠配器:桑楠滋润着草绿孕育着儿开你的爱...
274 你的爱无处不在 石顺义 桑楠 常思思本文展示由桃李醉春风 记谱上传记谱的歌谱 错过(竹笑九幺 词曲),词/曲 竹笑九幺 竹笑九幺,演唱 小义…欢迎免费试听错过(竹笑九幺 词曲)乐曲,下载歌曲的乐谱与伴奏。...
713 错过 竹笑九幺 竹笑九幺小义本文展示由桃李醉春风记谱记谱的歌谱 盛唐遗韵,词/曲 秦梦韬 罗玺 醉歌漫步,演唱 醉歌漫步…欢迎免费试听盛唐遗韵乐曲,下载歌曲的乐谱与伴奏。...
34 盛唐遗韵 秦梦韬本文分享来自 成GX 的歌谱 壮丽航程(合唱、领唱),词/曲 朱海 印青,演唱 阎维文殷秀梅…欢迎免费下载壮丽航程(合唱、领唱)乐谱、乐曲、伴奏,...
473 壮丽航程 朱海 印青 阎维文殷秀梅本文分享来自 郝玉林 的歌谱 兄弟,倒酒,词/曲 王天宇 郝玉林,演唱 …欢迎免费下载兄弟,倒酒乐谱、乐曲、伴奏,...
701 兄弟 倒酒 王天宇 郝玉林本文分享来自 贡献 的歌谱 在寒冬我种下梦想的种子,词/曲 昊昊(台湾) 姜延辉,演唱 姜延辉…欢迎免费下载在寒冬我种下梦想的种子乐谱、乐曲、伴奏,《在寒冬我种下梦想的种子》文本歌词在寒冬我種下夢想的種子...
514 在寒冬我种下梦想的种子 昊昊(台湾) 姜延辉本文分享来自 yyh1515 的歌谱 兰花花叙事曲(二胡曲谱/2页),词/曲 关铭,演唱 …欢迎免费下载兰花花叙事曲(二胡曲谱/2页)乐谱、乐曲、伴奏,...
203 兰花花叙事曲 关铭本文分享来自 duanwei 的歌谱 竹林深处(葫芦丝完整版),词/曲 杨正玺、龚全国,演唱 …欢迎免费下载竹林深处(葫芦丝完整版)乐谱、乐曲、伴奏,...
475 竹林深处本文展示由桃李醉春风 记谱上传记谱的歌谱 别用你的残忍折磨我,词/曲 黄诚 手心音符,演唱 冷漠…欢迎免费试听别用你的残忍折磨我乐曲,下载歌曲的乐谱与伴奏。试听地址:1、http://www.yue365.com/play/9205/251916.shtml2、http://www.446655....
46 别用你的残忍折磨我 黄诚 手心音符冷漠本文展示由sunzp制谱记谱的歌谱 天上北斗亮晶晶(电影《大刀记》插曲),词/曲 邱勤 萧珩,演唱 王音璇…欢迎免费试听天上北斗亮晶晶(电影《大刀记》插曲)乐曲,下载歌曲的乐谱与伴奏。...
728 天上北斗亮晶晶 邱勤 萧珩王音璇| 留言与评论(共有 0 条评论) |
