![[粤曲]南楼别恨(工尺谱)](http://img4.qpcxw.com/uploads/images/xipu/026/aikiqbunrew.webp)
![[粤曲]南楼别恨(工尺谱)](http://img4.qpcxw.com/uploads/images/xipu/026/tfz12myp3md.webp)
![[粤曲]南楼别恨(工尺谱)](http://img4.qpcxw.com/uploads/images/xipu/026/03qgcbqs1iy.webp)
![[粤曲]南楼别恨(工尺谱)](http://img4.qpcxw.com/uploads/images/xipu/026/0djkg1yu2mp.webp)
![[粤曲]南楼别恨(工尺谱)](http://img4.qpcxw.com/uploads/images/xipu/026/pdzztbunylj.webp)
![[粤曲]南楼别恨(工尺谱)](http://img4.qpcxw.com/uploads/images/xipu/026/nj3oxdbwojp.webp)
![[粤曲]南楼别恨(工尺谱)](http://img4.qpcxw.com/uploads/images/xipu/026/g0vuqr0nzxk.webp)
![[粤曲]南楼别恨(工尺谱)](http://img4.qpcxw.com/uploads/images/xipu/026/etstmch1jsq.webp)
![[粤曲]南楼别恨(工尺谱)](http://img4.qpcxw.com/uploads/images/xipu/026/ehr3v5ozzpw.webp)
![[粤曲]南楼别恨(工尺谱)](http://img4.qpcxw.com/uploads/images/xipu/026/sciiq2ictj2.webp)
![[粤曲]南楼别恨(工尺谱)](http://img4.qpcxw.com/uploads/images/xipu/026/35mvhjuey1t.webp)
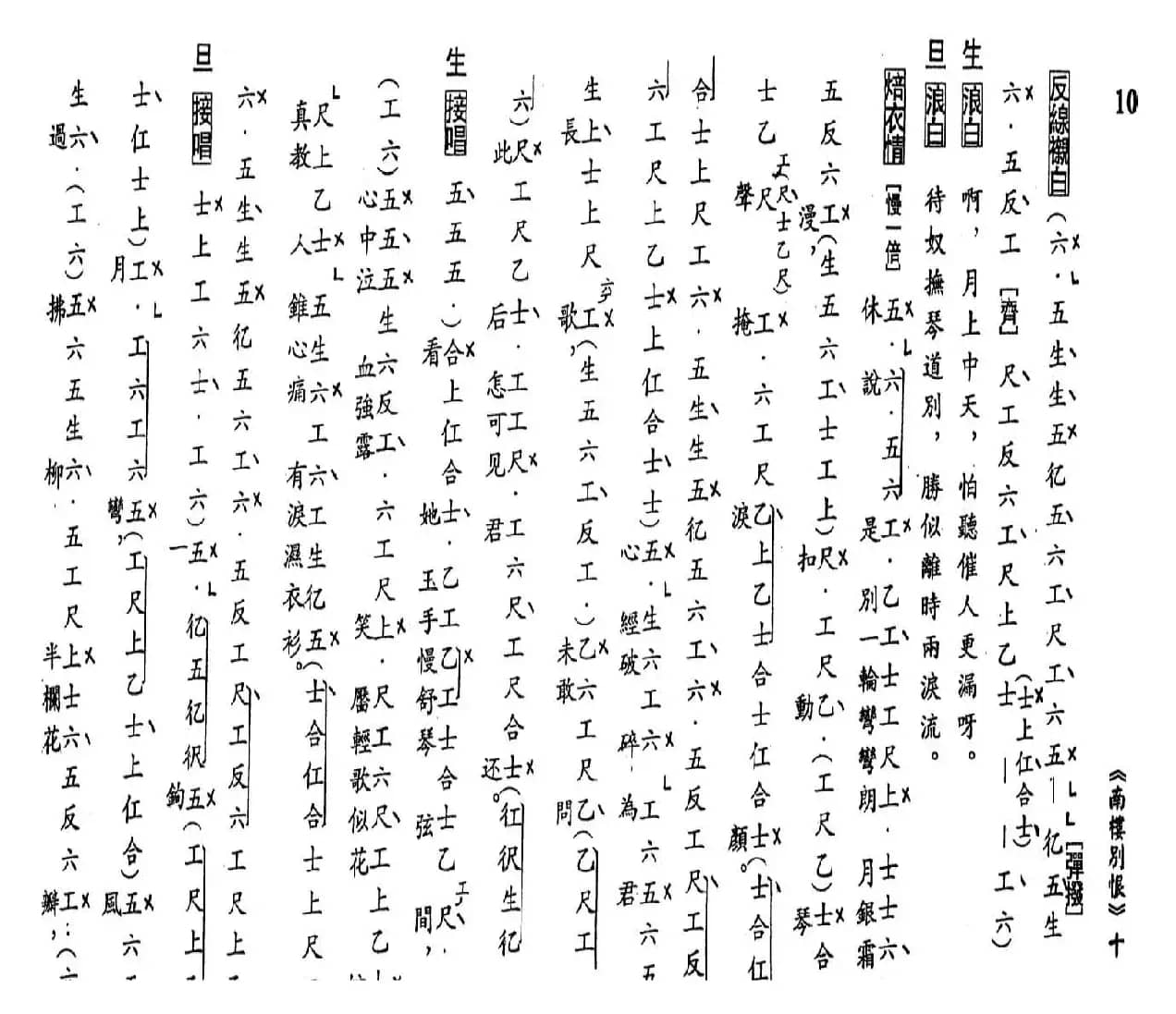
粤曲 南楼别恨 工尺谱 丁凡 危佩仪 陈锦荣简谱歌词是曲谱查询网于2023年08月22日 02:48:33更新在粤剧粤曲谱频道中的内容,收录在粤剧粤曲谱栏目中;曲谱查询网分享的粤曲 南楼别恨 工尺谱 丁凡 危佩仪 陈锦荣简谱五线谱高清图片,欢迎在线免费下载;曲谱查询网无需注册,即可直接下载海量歌曲谱与乐器学习相关资料。
曲谱查询网收录古今中外海量歌曲谱,如歌曲简谱、乐曲五线谱、PDF乐谱、戏曲谱、器乐相关资源下载等,欢迎查阅!
![[粤曲]南楼别恨(工尺谱)](http://img4.qpcxw.com/uploads/images/xipu/026/aikiqbunrew.webp)
![[粤曲]南楼别恨(工尺谱)](http://img4.qpcxw.com/uploads/images/xipu/026/tfz12myp3md.webp)
![[粤曲]南楼别恨(工尺谱)](http://img4.qpcxw.com/uploads/images/xipu/026/03qgcbqs1iy.webp)
![[粤曲]南楼别恨(工尺谱)](http://img4.qpcxw.com/uploads/images/xipu/026/0djkg1yu2mp.webp)
![[粤曲]南楼别恨(工尺谱)](http://img4.qpcxw.com/uploads/images/xipu/026/pdzztbunylj.webp)
![[粤曲]南楼别恨(工尺谱)](http://img4.qpcxw.com/uploads/images/xipu/026/nj3oxdbwojp.webp)
![[粤曲]南楼别恨(工尺谱)](http://img4.qpcxw.com/uploads/images/xipu/026/g0vuqr0nzxk.webp)
![[粤曲]南楼别恨(工尺谱)](http://img4.qpcxw.com/uploads/images/xipu/026/etstmch1jsq.webp)
![[粤曲]南楼别恨(工尺谱)](http://img4.qpcxw.com/uploads/images/xipu/026/ehr3v5ozzpw.webp)
![[粤曲]南楼别恨(工尺谱)](http://img4.qpcxw.com/uploads/images/xipu/026/sciiq2ictj2.webp)
![[粤曲]南楼别恨(工尺谱)](http://img4.qpcxw.com/uploads/images/xipu/026/35mvhjuey1t.webp)
粤曲 南楼别恨 工尺谱 丁凡 危佩仪 陈锦荣简谱歌词是曲谱查询网于2023年08月22日 02:48:33更新在粤剧粤曲谱频道中的内容,收录在粤剧粤曲谱栏目中;曲谱查询网分享的粤曲 南楼别恨 工尺谱 丁凡 危佩仪 陈锦荣简谱五线谱高清图片,欢迎在线免费下载;曲谱查询网无需注册,即可直接下载海量歌曲谱与乐器学习相关资料。
| 留言与评论(共有 0 条评论) |
