![[前苏联]青年歌](http://img2.qpcxw.com/uploads/images/waiguo/016/nijpbdsb2kf.webp)
![[前苏联]青年歌](http://img2.qpcxw.com/uploads/images/waiguo/016/0c50ptpzx4o.webp)
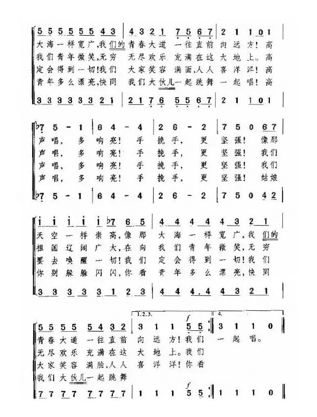
青年歌(前苏联)_外国歌谱_词曲:简谱歌词是曲谱查询网于2023年05月15日 00:49:20更新在外国曲谱频道中的内容,收录在外国曲谱栏目中;曲谱查询网分享的青年歌(前苏联)_外国歌谱_词曲:简谱五线谱高清图片,欢迎在线免费下载;曲谱查询网无需注册,即可直接下载海量歌曲谱与乐器学习相关资料。
曲谱查询网收录古今中外海量歌曲谱,如歌曲简谱、乐曲五线谱、PDF乐谱、戏曲谱、器乐相关资源下载等,欢迎查阅!
![[前苏联]青年歌](http://img2.qpcxw.com/uploads/images/waiguo/016/nijpbdsb2kf.webp)
![[前苏联]青年歌](http://img2.qpcxw.com/uploads/images/waiguo/016/0c50ptpzx4o.webp)
青年歌(前苏联)_外国歌谱_词曲:简谱歌词是曲谱查询网于2023年05月15日 00:49:20更新在外国曲谱频道中的内容,收录在外国曲谱栏目中;曲谱查询网分享的青年歌(前苏联)_外国歌谱_词曲:简谱五线谱高清图片,欢迎在线免费下载;曲谱查询网无需注册,即可直接下载海量歌曲谱与乐器学习相关资料。
本篇为您分享外国歌曲谱 [意]爱戴 尊敬 荣光(正谱)(选自歌剧《麦克白》),由 [意]G.威尔第 曲 词/曲, 演唱,john 编辑整理…《[意]爱戴 尊敬 荣光(正谱)》文本歌词90.[意]爱戴 尊敬 荣光(正谱)麦克白的咏叹调 选自歌剧《麦克白》[意]G.威尔第 曲 (1813-1901)...
325 意大利本篇为您分享外国歌曲谱 [西]柔软的秀发(正谱),由 [西]奥布拉多尔斯 词/曲, 演唱,卫卫 编辑整理…《[西]柔软的秀发》文本歌词69.[西]柔软的秀发(正谱)[西]奥布拉多尔斯 曲 赵金平 译词 喻宜萱 配歌...
1086 西班牙 柔软的秀发 奥布拉多尔斯本篇为您分享外国歌曲谱 Tie a Yellow Ribbon Round The Old Oak Tree(老橡树上的黄丝带),由 词/曲, 演唱,黎黎 编辑整理…...
1640本篇为您分享外国歌曲谱 [俄]小水锅,由 薛范 译配 词/曲, 演唱,瓜瓜 编辑整理…《[俄]小水锅》文本歌词小水锅米·马都索夫斯基词弗·卡拉米谢夫 曲薛范译配1、四周原野空又阔,不长青草和花朵,雨水洒在窑洞上,滴答往下落。战士聚在窑洞里,我们轻声唱着歌,战士聚在窑洞里,围着小水锅。2、哪怕炮火连炮...
1926 俄罗斯 小水锅本篇为您分享外国歌曲谱 [俄]悦耳钟声,由安·波贝瑞琪内伊 阿·莫罗佐夫 薛范译配 词/曲, 演唱,小橘 编辑整理…《[俄]悦耳钟声》文本歌词76.[俄]悦耳钟声Малиновый звон[俄]安·波贝瑞琪内伊 词[俄]阿·莫罗佐夫 曲 薛范译配Слова А ПоперечногоМу...
1788 俄罗斯 悦耳钟声 安·波贝瑞琪内伊本篇为您分享外国歌曲谱 [奥]小夜曲(正谱),由 [奥]F.舒伯特 词/曲, 演唱,萌萌 编辑整理…《[奥]小夜曲(正谱)》文本歌词9.[奥]小夜曲(正谱)[奥]F.舒伯特 曲 (1797-1828) 邓映易 译配...
1333 奥地利 小夜曲 F舒伯特本篇为您分享外国歌曲谱 歌者的财富(中外文对照版、正谱),由施莱赫塔 舒伯特 词/曲, 演唱,汀瑀 编辑整理…...
581 歌者的财富 施莱赫塔 舒伯特本篇为您分享外国歌曲谱 [美]Home On The Range(草原上的家园),由 词/曲, 演唱,海带 编辑整理…...
1554 美国本篇为您分享外国歌曲谱 梅花啊梅花(陈颖波词 赵陈圣乐曲),由陈颖波 赵陈圣乐 词/曲, 演唱,思翰 编辑整理…...
1225 梅花啊梅花 陈颖波 赵陈圣乐本篇为您分享外国歌曲谱 [俄]95顺着伏尔加母亲河(合唱),由 俄罗斯民歌 词/曲, 演唱,睿达 编辑整理…歌词最早见于1790年,曲作者和歌曲形成的年代不祥。它原是一首纤夫们的民间叙事曲,叙述在波涛汹涌的伏尔加河上,船工们拼命划桨向前。船上坐着的主人,一般好穿戴。他催促着:“加把劲哪,伙计们,...
1977 俄罗斯 95顺着伏尔加母亲河 俄罗斯民歌 云南永胜民歌、夏毅新选编| 留言与评论(共有 0 条评论) |
