
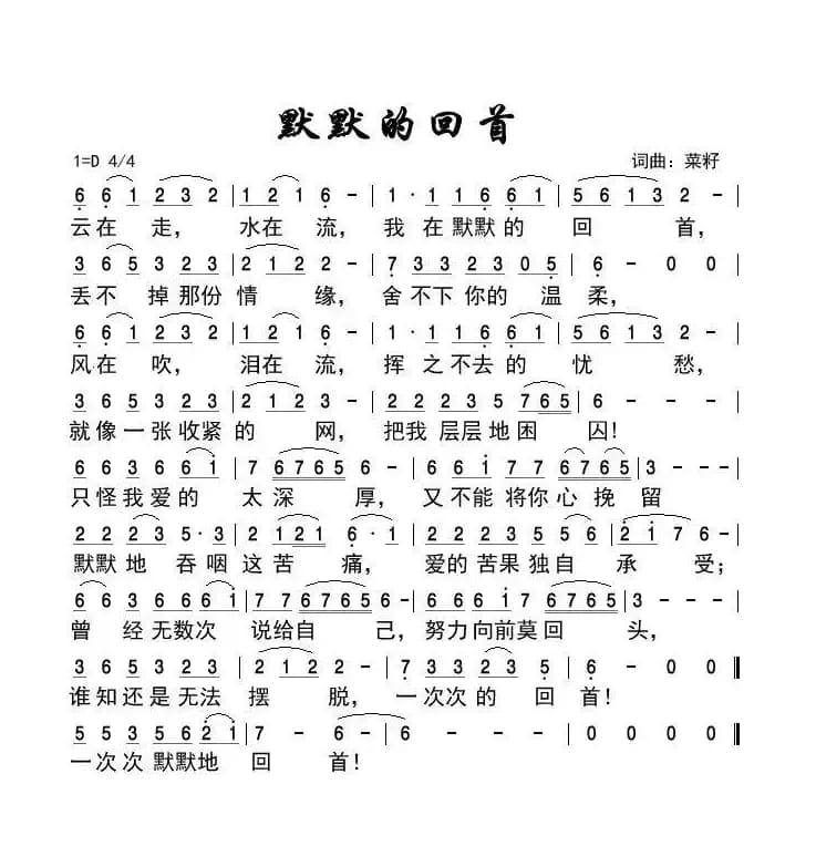
默默的回首_通俗唱法乐谱_词曲:菜籽 菜籽简谱歌词是曲谱查询网于2023年06月03日 20:40:07更新在通俗歌曲谱频道中的内容,收录在通俗歌曲谱栏目中;曲谱查询网分享的默默的回首_通俗唱法乐谱_词曲:菜籽 菜籽简谱五线谱高清图片,欢迎在线免费下载;曲谱查询网无需注册,即可直接下载海量歌曲谱与乐器学习相关资料。
曲谱查询网收录古今中外海量歌曲谱,如歌曲简谱、乐曲五线谱、PDF乐谱、戏曲谱、器乐相关资源下载等,欢迎查阅!

默默的回首_通俗唱法乐谱_词曲:菜籽 菜籽简谱歌词是曲谱查询网于2023年06月03日 20:40:07更新在通俗歌曲谱频道中的内容,收录在通俗歌曲谱栏目中;曲谱查询网分享的默默的回首_通俗唱法乐谱_词曲:菜籽 菜籽简谱五线谱高清图片,欢迎在线免费下载;曲谱查询网无需注册,即可直接下载海量歌曲谱与乐器学习相关资料。
本篇为您分享通俗唱法曲谱 柠檬飘香,由刘顶柱 陈丽君 词/曲, 演唱,李子 编辑整理…《柠檬飘香》文本歌词不在乎水长 不在乎山高追寻你的踪影 独自上蜀道只为了一个 美丽的约定今生今世你欠我 一个拥抱洁白的歌谣 飘香的味道收藏你的浪漫 一路在寻找传说中你是 川东的明珠花容月貌敌不过 你的微笑我要去安岳...
1074 通俗唱法歌谱 柠檬飘香 刘顶柱 陈丽君本篇为您分享通俗唱法曲谱 追随太阳(慕天放词 杨武麟曲),由慕天放 杨武麟 词/曲, 演唱,淼淼 编辑整理…《追随太阳》文本歌词1.把太长太长的等待写进残梦,走向那唤起金碧辉煌的黎明。把太多太多的心愿化作努力,用自信撞响人生之旅的洪钟。既然许下了诺言就不再改悔,微笑着面对冰雪和雨风。拨开岁月的烟云拥...
129 通俗唱法歌谱 追随太阳 慕天放 杨武麟本篇为您分享通俗唱法曲谱 情缚,由蒋秀玫 残仁龙 词/曲, 演唱,舒雅 编辑整理…《情缚》文本歌词清风里,翩翩起舞,有谁知她内心的孤独?孤灯旁,吟诗歌赋,无人聆听心灵倾诉!月光下,丹青水墨,有谁知他内心的脆弱?厅堂上,盘龙卧虎,无人分享功名利禄!饱读诗书的红尘俗女们,谁不渴望爱的慰抚?功成名就的红尘...
1438 通俗唱法歌谱 情缚 蒋秀玫 残仁龙本篇为您分享通俗唱法曲谱 为什么你背着我爱别人,由张翠华 张洪量 词/曲,许志安 演唱,虫虫 编辑整理…...
1278 通俗唱法歌谱 为什么你背着我爱别人 张翠华 张洪量 许志安本篇为您分享通俗唱法曲谱 为了什么(《烟海沉浮》主题歌),由 王佑贵 词/曲, 演唱,阿新 编辑整理…致谢:《曲谱查询网》衷心感谢作者老师馈赠原版歌谱!...
712 通俗唱法歌谱 为了什么 王佑贵本篇为您分享通俗唱法曲谱 今夜枕着你的名字入眠(张效密词 吴小平曲),由张效密 吴小平 词/曲,李恒 演唱,Giovanni 编辑整理…《今夜枕着你的名字入眠》文本歌词今夜枕着你的名字入眠今夜枕着你的名字入眠,你的身影浮现在眼前,笑容似春风话语暖心间,沐浴在爱的阳光里催开花蕾红艳艳。花有叶儿陪,月有...
1550 通俗唱法歌谱 今夜枕着你的名字入眠 张效密 吴小平 李恒本篇为您分享通俗唱法曲谱 不老谣(刘岐山词 刘北休曲),由刘岐山 刘北休 词/曲, 演唱,马虎 编辑整理…...
75 通俗唱法歌谱 不老谣 刘岐山 刘北休本篇为您分享通俗唱法曲谱 青春的风景,由银燕 南风 词/曲, 演唱,小喇叭 编辑整理…《青春的风景》文本歌词青春的风景作词 银燕 作曲 南风编曲 青山 混缩 峥嵘岁月不见了青春的笑脸,依然珍藏着青春的真诚。还记得你这难忘的名字呀,你那迷人的笑声。走过的岁月在这里,一起积淀下厚重。山有山的风景,那是它...
336 通俗唱法歌谱 青春的风景 银燕 南风| 留言与评论(共有 0 条评论) |
