
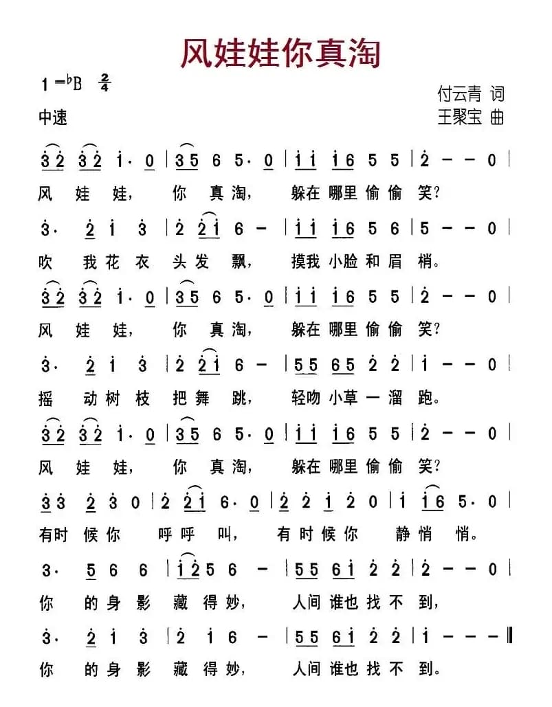
风娃娃你真淘_儿歌乐谱_词曲:付云青 王聚宝简谱歌词是曲谱查询网于2023年05月26日 20:09:11更新在少儿歌谱频道中的内容,收录在少儿歌谱栏目中;曲谱查询网分享的风娃娃你真淘_儿歌乐谱_词曲:付云青 王聚宝简谱五线谱高清图片,欢迎在线免费下载;曲谱查询网无需注册,即可直接下载海量歌曲谱与乐器学习相关资料。
曲谱查询网收录古今中外海量歌曲谱,如歌曲简谱、乐曲五线谱、PDF乐谱、戏曲谱、器乐相关资源下载等,欢迎查阅!

风娃娃你真淘_儿歌乐谱_词曲:付云青 王聚宝简谱歌词是曲谱查询网于2023年05月26日 20:09:11更新在少儿歌谱频道中的内容,收录在少儿歌谱栏目中;曲谱查询网分享的风娃娃你真淘_儿歌乐谱_词曲:付云青 王聚宝简谱五线谱高清图片,欢迎在线免费下载;曲谱查询网无需注册,即可直接下载海量歌曲谱与乐器学习相关资料。
本篇为您分享少儿歌曲谱 心中憧憬化为美梦(美国动画片《灰姑娘》插曲),由 词/曲, 演唱,杏子 编辑整理…...
1965 儿童歌谱 儿歌曲谱 少儿乐谱 心中憧憬化为美梦| 留言与评论(共有 0 条评论) |
