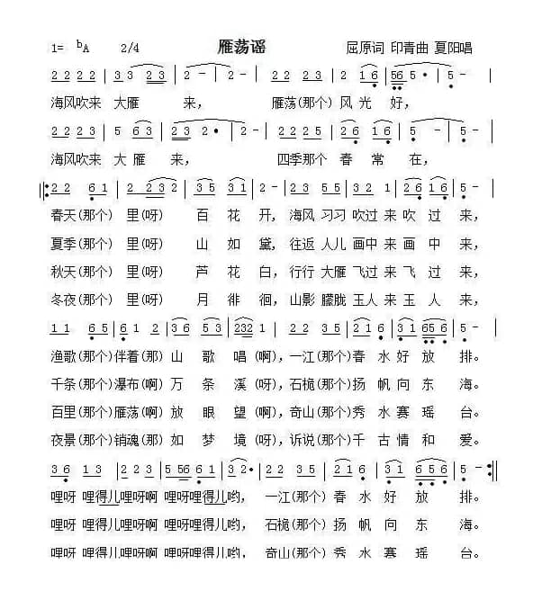
名称:雁荡谣
艺术家:夏阳
国家:中国
作词:屈塬
作曲:印青
演唱:夏阳
分类:曲谱
子类:投稿
类型:简谱/五线谱
文件格式:jpg


《雁荡谣》文本歌词
雁荡谣
春天(那个)里(呀)百花开
海风习习吹过来吹过来
渔歌(那个)伴着(那)山歌唱(啊)
一江(那个)春水好放排
(哩呀哩得儿哩呀啊 哩呀哩得儿哟)
一江(那个)春水好放排
夏季(那个)里(呀)山如黛
往返人儿画中来画中来
千条(那个)瀑布(啊)万条溪(呀)
石栀(那个)扬帆向东海
(哩呀哩得儿哩呀啊 哩呀哩得儿哟)
石栀(那个)扬帆向东海
秋天(那个)里(呀)芦花白
行行大雁飞过来飞过来
百里(那个)雁荡(啊)放眼望(啊)
奇山(那个)秀水赛瑶台
(哩呀哩得儿哩呀啊 哩呀哩得儿哟)
奇山(那个)秀水赛瑶台
冬夜(那个)里(呀)月徘徊
山影朦胧玉人来玉人来
夜景(那个)销魂(那)如梦境(呀)
诉说(那个)千古情和爱
(哩呀哩得儿哩呀啊 哩呀哩得儿哟)
诉说(那个)千古情和爱
海风吹(呀)大雁来
雁荡(那个)风光好
海风吹(呀)大雁来
四季(那个)春常在 春常在
四季(那个)春常在 春常在
-










