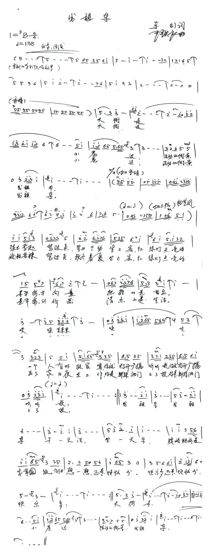
名称:出租车
艺术家:于文华
国家:中国
作词:车行
作曲:尹铁良
演唱:于文华
分类:曲谱
子类:投稿
类型:简谱/五线谱
文件格式:jpg

《出租车》文本歌词
出 租 车
词:车 行 曲:尹铁良
大街走小巷过
流动的街景出租车
张王李赵驾驶员
男女老幼坐上客
红绿灯点亮的是平安
方向盘把握的是生活
唉一个人有时挺寂寞
你就打开广播听听歌
大街走小巷过
流动的街景出租车
酸甜苦辣驾驶员
秋冬春夏坐上客
交通警指挥的是畅通
计价器清点的是苦乐
唉奔小康日夜在工作
你是脚踩油门上了坡
出租车出租车
干一天活坐一天车
腰酸腿疼是家常饭
仔细想想还是烦恼少快乐多












