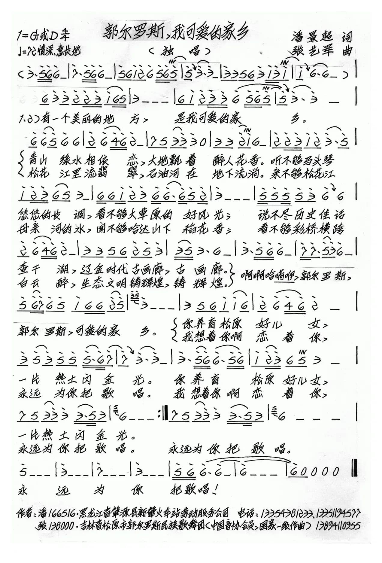
名称:郭尔罗斯,我可爱的家乡 潘景超词 张艺军曲
艺术家:韩传芳
国家:中国
作词:潘景超
作曲:张艺军
演唱:韩传芳
分类:曲谱
子类:投稿
类型:简谱/五线谱
文件格式:jpg

《郭尔罗斯,我可爱的家乡》文本歌词
郭尔罗斯 我可爱的家乡
作词 潘景超
作曲 张艺军
编曲 陈安海
演唱 韩传芳
有一个美丽的地方
是我可爱的家乡
青山绿水相依恋
大地飘着醉人花香
听不够马头琴悠悠的长调
看不够大草原的好风光
说不尽历史佳话查干湖
辽金时代古画廊
啊哈嗬咿.郭尔罗斯
郭尔罗斯我可爱的家乡
你养育家乡好儿女
一片热土闪金光
有一个美丽的地方
是我可爱的家乡
松花江里流翡翠
石油河在地下流淌
亲不够松花江母亲河的水
闻不够哈达山下稻花香
看不完彩桥横跨白云醉
生态文明铸辉煌
啊哈嗬咿.郭尔罗斯
郭尔罗斯我可爱的家乡
我想着你啊恋着你
永远为你把歌唱












