
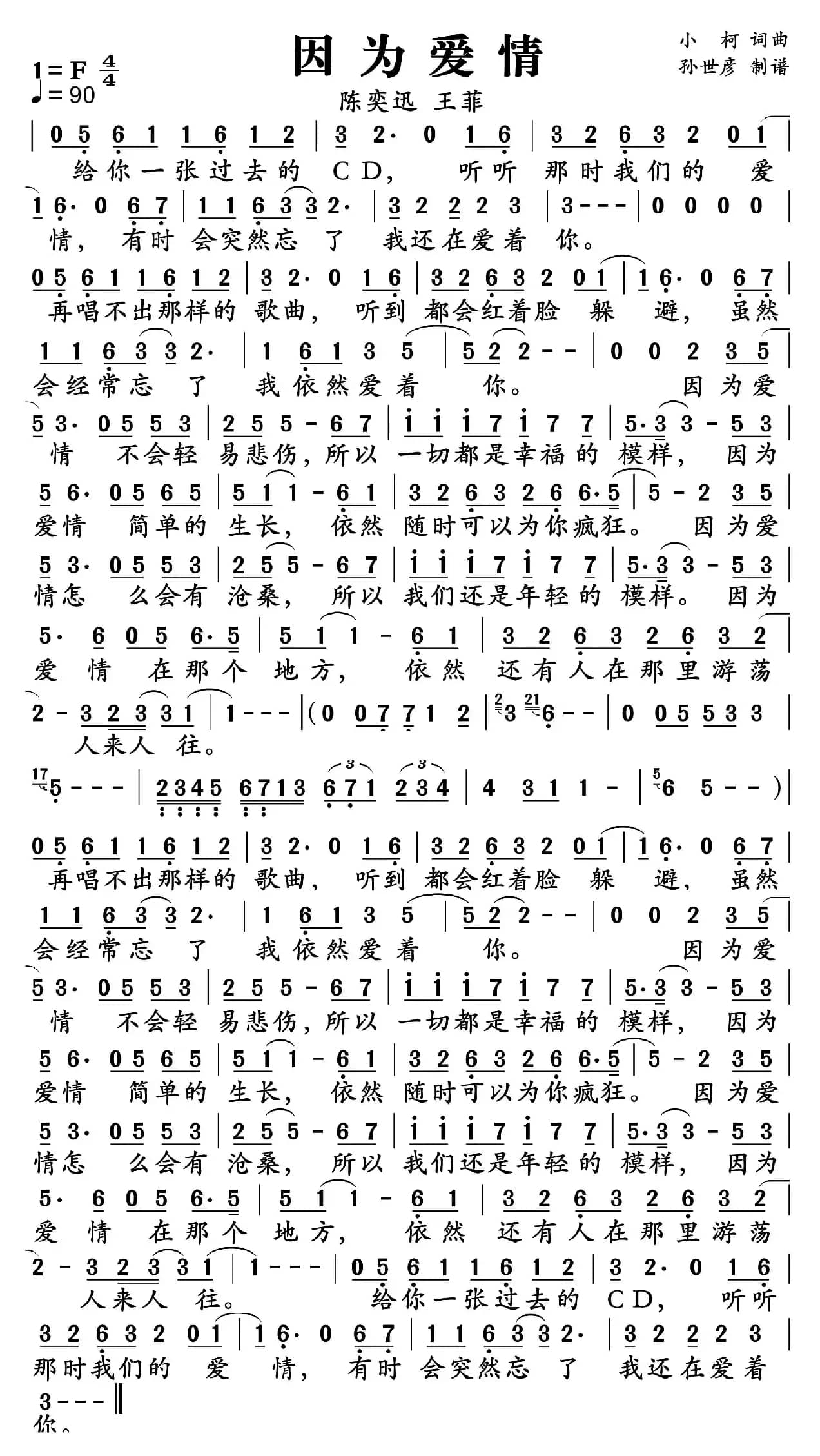
因为爱情_歌谱投稿_词曲:简谱歌词是曲谱查询网于2023年04月13日 15:33:09更新在曲谱投稿频道中的内容,收录在曲谱投稿栏目中;曲谱查询网分享的因为爱情_歌谱投稿_词曲:简谱五线谱高清图片,欢迎在线免费下载;曲谱查询网无需注册,即可直接下载海量歌曲谱与乐器学习相关资料。
曲谱查询网收录古今中外海量歌曲谱,如歌曲简谱、乐曲五线谱、PDF乐谱、戏曲谱、器乐相关资源下载等,欢迎查阅!

因为爱情_歌谱投稿_词曲:简谱歌词是曲谱查询网于2023年04月13日 15:33:09更新在曲谱投稿频道中的内容,收录在曲谱投稿栏目中;曲谱查询网分享的因为爱情_歌谱投稿_词曲:简谱五线谱高清图片,欢迎在线免费下载;曲谱查询网无需注册,即可直接下载海量歌曲谱与乐器学习相关资料。
本文展示由谱友绿水青山记谱的歌谱 歌声与鲜花,词/曲 张俊以 孟庆云,演唱 范琳琳…欢迎免费试听歌声与鲜花乐曲,下载歌曲的乐谱与伴奏。...
805 歌声与鲜花 张俊以 孟庆云 范琳琳本文分享来自 海内老人 的歌谱 远去的人(微电影《戈壁额吉》插曲),词/曲 乌力吉 乌力吉,演唱 孟根花…欢迎免费下载远去的人(微电影《戈壁额吉》插曲)乐谱、乐曲、伴奏,...
247 远去的人 乌力吉 孟根花本文分享来自 快乐老天 的歌谱 思念你的滋味我好陶醉,词/曲 李婷 宁冬虎,演唱 清风明月…欢迎免费下载思念你的滋味我好陶醉乐谱、乐曲、伴奏,...
974 思念你的滋味我好陶醉 李婷 宁冬虎 清风明月本文展示由爱乐 制谱上传记谱的歌谱 穿军装的川妹子(线简谱混排版),词/曲 韩伟 孟庆云,演唱 李丹阳…欢迎免费试听穿军装的川妹子(线简谱混排版)乐曲,下载歌曲的乐谱与伴奏。《穿军装的川妹子》文本歌词穿军装的川妹子作词:韩伟 作曲:孟庆云 演唱;李丹阳火辣辣的眼睛往人心里瞅,火辣辣的嗓音好像浸着酒。...
58 穿军装的川妹子 韩伟 孟庆云 李丹阳本文分享来自 陈MN1226 的歌谱 声声慢(声乐 简谱/五线谱),词/曲 [宋] 李清照 徐沛东,演唱 宋祖英…欢迎免费下载声声慢(声乐 简谱/五线谱)乐谱、乐曲、伴奏,靖康之变后,李清照国破,家亡,夫死,伤于人事。这时期她的作品再没有当年那种清新可人,浅斟低唱,而转为沉郁凄婉,主要抒写她对亡夫赵...
479 声声慢 徐沛东 宋祖英本文展示由秋叶起舞 记谱上传记谱的歌谱 崇高的军礼(郝春晖词 舒国万曲),词/曲 郝春晖 舒国万,演唱 苏爱华…欢迎免费试听崇高的军礼(郝春晖词 舒国万曲)乐曲,下载歌曲的乐谱与伴奏。《崇高的军礼》文本歌词《崇高的军礼》眼前又飘扬起猎猎的军旗热血在奔流依恋在心底军营中相伴多少朝夕我们携手度过那花开的...
626 崇高的军礼 郝春晖 舒国万苏爱华本文展示由秋叶起舞 记谱上传记谱的歌谱 小调情歌,词/曲 胡风华 石焱,演唱 蒙克…欢迎免费试听小调情歌乐曲,下载歌曲的乐谱与伴奏。《小调情歌》文本歌词小调情歌作词 胡风华作曲 石 焱编曲 小 多录音 王 东和声 小 多混音 周晓明演唱 蒙 克一道道水哟 一道道山哥哥想妹妹哟 想在心尖...
144 小调情歌 胡风华 石焱蒙克本文展示由桃李醉春风记谱记谱的歌谱 天天天蓝,词/曲 唐艺心 唐嘉悦,演唱 张萌…欢迎免费试听天天天蓝乐曲,下载歌曲的乐谱与伴奏。...
563 天天天蓝 唐艺心 唐嘉悦张萌本文展示由桃李醉春风记谱记谱的歌谱 你给我的爱,词/曲 丁当 老猫,演唱 乐桐 老猫…欢迎免费试听你给我的爱乐曲,下载歌曲的乐谱与伴奏。《你给我的爱》文本歌词你给我的爱作词:丁当 作曲:老猫演唱:乐桐&老猫你给我拥抱我心砰砰地直跳你给我微笑让我瞬间被电倒高富帅一切都如浮云脑后抛我为你拉响爱情冲锋的号...
41 你给我的爱 丁当本文展示由行云制谱记谱的歌谱 月圆曲(二胡独奏曲),词/曲 黄锦培,演唱 …欢迎免费试听月圆曲(二胡独奏曲)乐曲,下载歌曲的乐谱与伴奏。...
103 月圆曲 黄锦培本文分享来自 蓝星星 的歌谱 像我也曾这样(盛拓路词 胡正伟曲),词/曲 盛拓路 胡正伟,演唱 胡正伟…欢迎免费下载像我也曾这样(盛拓路词 胡正伟曲)乐谱、乐曲、伴奏,《像我也曾这样》文本歌词像我也曾这样作词:盛拓路作曲:胡正伟多少人在挫折中跌倒 磨去了棱角 多少梦在醒来时遗忘 来不及回想然而痛却都...
886 像我也曾这样 盛拓路 胡正伟本文分享来自 热爱音乐88 的歌谱 开心的日子(梁和平词 戚建波曲),词/曲 梁和平 戚建波,演唱 王妮娜…欢迎免费下载开心的日子(梁和平词 戚建波曲)乐谱、乐曲、伴奏,...
830 开心的日子 梁和平 戚建波 王妮娜本文分享来自 遥力abc111 的歌谱 赞颂34个省份组歌:高歌广东(朱国鑫创作),词/曲 朱国鑫 朱国鑫,演唱 …欢迎免费下载赞颂34个省份组歌:高歌广东(朱国鑫创作)乐谱、乐曲、伴奏,...
858 赞颂34个省份组歌:高歌广东 朱国鑫| 留言与评论(共有 0 条评论) |
