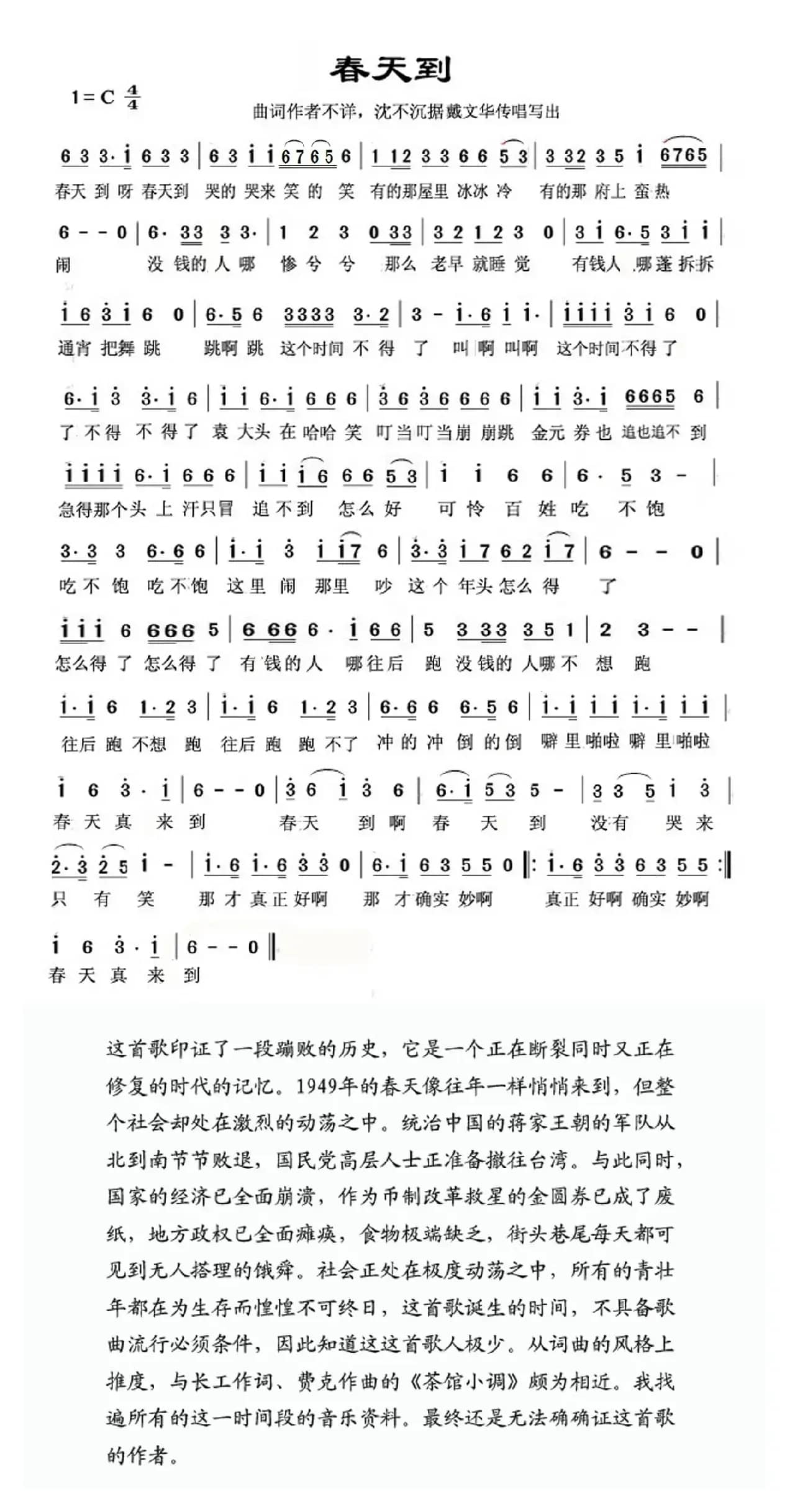
名称:春天到
国家:中国
作词:不详
作曲:不详
分类:曲谱
子类:投稿
类型:简谱/五线谱
文件格式:jpg
这首歌印证了一段崩败的历史,它是一个正在断裂同时又正在修复的时代的记忆。1949年的春天像往年一样悄悄来到,但整个社会却处在激烈的动荡之中。统治中国的蒋家王朝的军队从北到南节节败退,国民党高层人士正准备撤往台湾。与此同时,国家的经济已全面崩溃,作为币制改革救星的金圆券已成了废纸,地方政权已全面瘫痪,食物极端缺乏,街头巷尾每天都可见到无人搭理的饿舜。社会正处在极度动荡之中,所有的青壮年都在为生存而惶惶不可终日,这首歌诞生的时间,不具备歌曲流行必须条件,因此知道这这首歌人极少。从词曲的风格上推度,与长工作词、费克作曲的《茶馆小调》颇为相近。我找遍所有的这一时间段的音乐资料。最终还是无法确确证这首歌的作者。













