
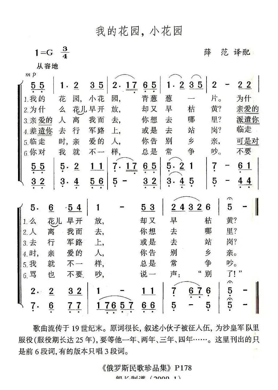
我的花园,小花园_歌谱投稿_词曲:简谱歌词是曲谱查询网于2023年04月04日 20:01:36更新在曲谱投稿频道中的内容,收录在曲谱投稿栏目中;曲谱查询网分享的我的花园,小花园_歌谱投稿_词曲:简谱五线谱高清图片,欢迎在线免费下载;曲谱查询网无需注册,即可直接下载海量歌曲谱与乐器学习相关资料。
曲谱查询网收录古今中外海量歌曲谱,如歌曲简谱、乐曲五线谱、PDF乐谱、戏曲谱、器乐相关资源下载等,欢迎查阅!

我的花园,小花园_歌谱投稿_词曲:简谱歌词是曲谱查询网于2023年04月04日 20:01:36更新在曲谱投稿频道中的内容,收录在曲谱投稿栏目中;曲谱查询网分享的我的花园,小花园_歌谱投稿_词曲:简谱五线谱高清图片,欢迎在线免费下载;曲谱查询网无需注册,即可直接下载海量歌曲谱与乐器学习相关资料。
本文分享来自 羽888-025081 的歌谱 老家门前,词/曲 李保光 李保光,演唱 …欢迎免费下载老家门前乐谱、乐曲、伴奏,...
319 老家门前 李保光本文展示由绿水青山记谱的歌谱 我想有个家,词/曲 潘美辰 潘美辰,演唱 范琳琳…欢迎免费试听我想有个家乐曲,下载歌曲的乐谱与伴奏。...
894 我想有个家 潘美辰 范琳琳本文展示由桃李醉春风记谱记谱的歌谱 明天的自己(冯晓荣词曲),词/曲 冯晓荣 冯晓荣,演唱 冷漠 冯晓荣…欢迎免费试听明天的自己(冯晓荣词曲)乐曲,下载歌曲的乐谱与伴奏。《明天的自己》文本歌词明天的自己词曲:冯晓荣编曲:牛渡演唱:冷漠冯晓荣混音:阿KEN(冷漠)被风吹过心 也被雨伤过情那月色照着让人...
145 明天的自己 冯晓荣本文分享来自 月华素 的歌谱 星辰大海(卡林巴拇指琴简谱),词/曲 翟子千 翟子千,演唱 黄霄云…欢迎免费下载星辰大海(卡林巴拇指琴简谱)乐谱、乐曲、伴奏,...
636 星辰大海 翟子千 黄霄云本文分享来自 李13893178163 的歌谱 广东音乐《五福临门》,词/曲 吕文成,演唱 …欢迎免费下载广东音乐《五福临门》乐谱、乐曲、伴奏,广东音乐...
389 广东音乐五福临门 吕文成本文展示由桃李醉春风记谱记谱的歌谱 你的心是否也有我的名,词/曲 张海风 张海风,演唱 六哲…欢迎免费试听你的心是否也有我的名乐曲,下载歌曲的乐谱与伴奏。...
823 你的心是否也有我的名 张海风 张海风六哲本文展示由Z.E.Z.制作记谱的歌谱 回望(晓光词 徐沛东曲),词/曲 晓光 徐沛东,演唱 宋祖英…欢迎免费试听回望(晓光词 徐沛东曲)乐曲,下载歌曲的乐谱与伴奏。...
498 回望 晓光 徐沛东 宋祖英本文分享来自 ~金沙浪~ 的歌谱 堤岸情歌(电视剧《香江花月夜》插曲),词/曲 ,演唱 景黛音…欢迎免费下载堤岸情歌(电视剧《香江花月夜》插曲)乐谱、乐曲、伴奏,...
969 堤岸情歌 景黛音本文分享来自 秋叶起舞 的歌谱 一个人的天空,词/曲 侯善坤 高鹰,演唱 …欢迎免费下载一个人的天空乐谱、乐曲、伴奏,伴奏在:http://yc.5sing.com/1157337.html...
742 一个人的天空 侯善坤 高鹰本文分享来自 dujinsongcn 的歌谱 山茶花儿开(作词:杜劲松 作曲:李怀东),词/曲 杜劲松 李怀东,演唱 邓波儿…欢迎免费下载山茶花儿开(作词:杜劲松 作曲:李怀东)乐谱、乐曲、伴奏,...
665 山茶花儿开 杜劲松 李怀东 邓波儿| 留言与评论(共有 0 条评论) |
