
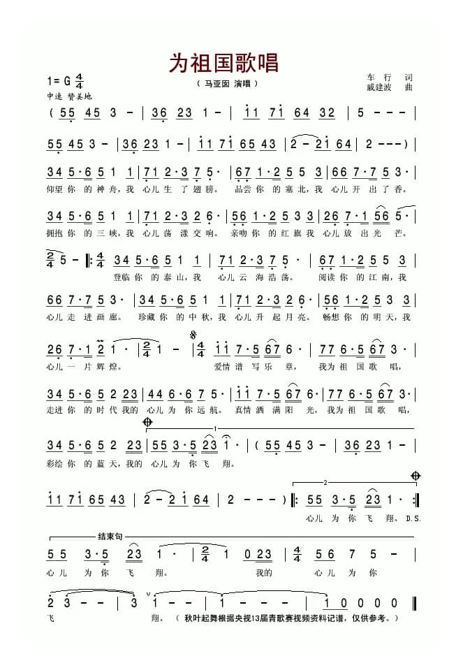
为祖国歌唱_歌谱投稿_词曲:车行 戚建波简谱歌词是曲谱查询网于2023年04月04日 12:01:14更新在曲谱投稿频道中的内容,收录在曲谱投稿栏目中;曲谱查询网分享的为祖国歌唱_歌谱投稿_词曲:车行 戚建波简谱五线谱高清图片,欢迎在线免费下载;曲谱查询网无需注册,即可直接下载海量歌曲谱与乐器学习相关资料。
曲谱查询网收录古今中外海量歌曲谱,如歌曲简谱、乐曲五线谱、PDF乐谱、戏曲谱、器乐相关资源下载等,欢迎查阅!

为祖国歌唱_歌谱投稿_词曲:车行 戚建波简谱歌词是曲谱查询网于2023年04月04日 12:01:14更新在曲谱投稿频道中的内容,收录在曲谱投稿栏目中;曲谱查询网分享的为祖国歌唱_歌谱投稿_词曲:车行 戚建波简谱五线谱高清图片,欢迎在线免费下载;曲谱查询网无需注册,即可直接下载海量歌曲谱与乐器学习相关资料。
本文分享来自 神仙姐姐 的歌谱 新狄青 《新狄青》主题曲 闽南语,词/曲 ,演唱 杨丽花…欢迎免费下载新狄青 《新狄青》主题曲 闽南语乐谱、乐曲、伴奏,...
272 杨丽花本文分享来自 秋叶起舞 的歌谱 我的健美在摇摆(少儿歌曲),词/曲 丁荣华 张艺军,演唱 …欢迎免费下载我的健美在摇摆(少儿歌曲)乐谱、乐曲、伴奏,致谢:《曲谱查询网》衷心感谢作者老师馈赠原版歌谱!...
687 我的健美在摇摆 丁荣华 张艺军本文分享来自 yhmwms 的歌谱 乌衣巷(djp词 任春林曲),词/曲 djp 任春林,演唱 …欢迎免费下载乌衣巷(djp词 任春林曲)乐谱、乐曲、伴奏,...
63 乌衣巷 DJP 任春林本文展示由秋叶起舞 记谱上传记谱的歌谱 呼伦牧歌,词/曲 刘新圈 乌兰齐齐格,演唱 乌兰齐齐格…欢迎免费试听呼伦牧歌乐曲,下载歌曲的乐谱与伴奏。《呼伦牧歌》文本歌词呼伦牧歌作词:刘新圈作曲:乌兰齐齐格演唱:乌兰齐齐格编曲:多剑平混音:周晓明大风吹过那生命的浩瀚我沿着岁月蜿蜒的曲线额尔古纳河 日夜不停...
48 呼伦牧歌 刘新圈 乌兰齐齐格乌兰齐齐格本文分享来自 秋叶起舞 的歌谱 净土(电视剧《木府风云》主题歌),词/曲 李炫春,演唱 孙楠…欢迎免费下载净土(电视剧《木府风云》主题歌)乐谱、乐曲、伴奏,李炫春记谱,线简谱混排版。...
960 净土 李炫春 孙楠本文展示由吕永新 记制谱记谱的歌谱 沧海情思,词/曲 忧悠倦云 枫桥,演唱 Kellie…欢迎免费试听沧海情思乐曲,下载歌曲的乐谱与伴奏。http://5sing.kugou.com/6029736/default.htmlMP3试听:http://5sing.kugou.com/yc/595103...
396 沧海情思 忧悠倦云 枫桥Kellie本文展示由王wzh制谱记谱的歌谱 叔叔,快把枪放下,词/曲 刘希涛 沈冬生,演唱 姚敏浩…欢迎免费试听叔叔,快把枪放下乐曲,下载歌曲的乐谱与伴奏。...
111 叔叔 快把枪放下 刘希涛 沈冬生姚敏浩本文展示由爱乐 制谱上传记谱的歌谱 荣辱记心间(线、简谱混排版),词/曲 刘青 刘青,演唱 …欢迎免费试听荣辱记心间(线、简谱混排版)乐曲,下载歌曲的乐谱与伴奏。...
707 荣辱记心间 刘青本文分享来自 秋叶起舞 的歌谱 我的根在中国(王东明词 张艺军曲),词/曲 王东明 张艺军,演唱 张小凤…欢迎免费下载我的根在中国(王东明词 张艺军曲)乐谱、乐曲、伴奏,致谢:《曲谱查询网》衷心感谢作者老师馈赠原版歌谱!MP3试听:http://5sing.kugou.com/yc/2251608...
175 我的根在中国 王东明 张艺军 张小凤| 留言与评论(共有 0 条评论) |
