
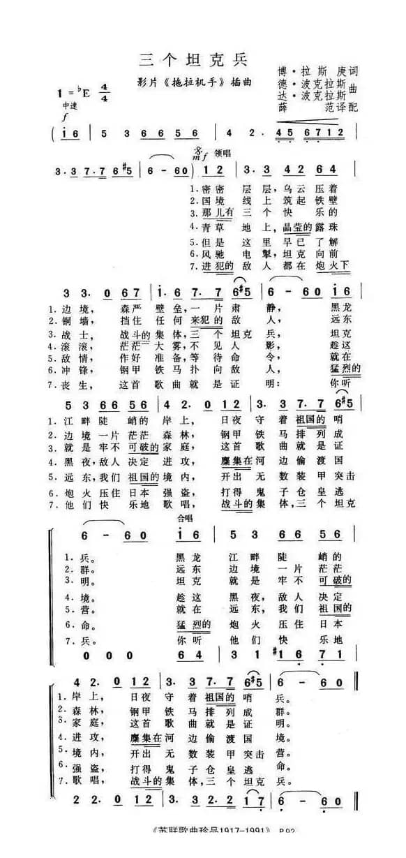
三个坦克兵_歌谱投稿_词曲:简谱歌词是曲谱查询网于2023年04月04日 01:25:17更新在曲谱投稿频道中的内容,收录在曲谱投稿栏目中;曲谱查询网分享的三个坦克兵_歌谱投稿_词曲:简谱五线谱高清图片,欢迎在线免费下载;曲谱查询网无需注册,即可直接下载海量歌曲谱与乐器学习相关资料。
曲谱查询网收录古今中外海量歌曲谱,如歌曲简谱、乐曲五线谱、PDF乐谱、戏曲谱、器乐相关资源下载等,欢迎查阅!

三个坦克兵_歌谱投稿_词曲:简谱歌词是曲谱查询网于2023年04月04日 01:25:17更新在曲谱投稿频道中的内容,收录在曲谱投稿栏目中;曲谱查询网分享的三个坦克兵_歌谱投稿_词曲:简谱五线谱高清图片,欢迎在线免费下载;曲谱查询网无需注册,即可直接下载海量歌曲谱与乐器学习相关资料。
本文展示由爱乐 制谱上传记谱的歌谱 好花红(布依族民歌---简谱版),词/曲 ,演唱 …欢迎免费试听好花红(布依族民歌---简谱版)乐曲,下载歌曲的乐谱与伴奏。...
549 好花红本文分享来自 常青老柏 的歌谱 我的中国梦(崔恕词 崔恕曲),词/曲 崔恕 崔恕,演唱 张明敏…欢迎免费下载我的中国梦(崔恕词 崔恕曲)乐谱、乐曲、伴奏,...
790 我的中国梦 崔恕 张明敏本文分享来自 杭州键盘老师 的歌谱 一千个伤心的理由,词/曲 ,演唱 张学友…欢迎免费下载一千个伤心的理由乐谱、乐曲、伴奏,...
247 一千个伤心的理由 张学友本文展示由棺材瓤子记谱记谱的歌谱 玉奴怨,词/曲 卢国沾 顾嘉辉,演唱 关菊英…欢迎免费试听玉奴怨乐曲,下载歌曲的乐谱与伴奏。《玉奴怨》文本歌词玉奴怨词:卢国沾曲:顾嘉辉唱:关菊英雪花飞,寒风劲孤巢雏燕盼父影慈颜死后情何以我父肩承责任不轻四壁空,无榖剩身如飘絮意若冰残红飘尽尤能怨午夜凄凉梦难成...
112 玉奴怨 卢国沾 顾嘉辉关菊英本文分享来自 青山123 的歌谱 阿妈给我的嫁妆(手稿版),词/曲 ,演唱 …欢迎免费下载阿妈给我的嫁妆(手稿版)乐谱、乐曲、伴奏,男女对唱【舞曲】...
1002 阿妈给我的嫁妆本文分享来自 沉舟侧畔过 的歌谱 我的名字叫警察,词/曲 童国富 张艺军,演唱 …欢迎免费下载我的名字叫警察乐谱、乐曲、伴奏,致谢:《曲谱查询网》衷心感谢作者老师馈赠原版歌谱!...
234 我的名字叫警察 童国富 张艺军本文分享来自 ~金沙浪~ 的歌谱 新走西口(孙书林词 石焱曲),词/曲 孙书林 石焱,演唱 郭雅丽、大兴…欢迎免费下载新走西口(孙书林词 石焱曲)乐谱、乐曲、伴奏,...
173 新走西口 孙书林 石焱本文展示由蔡少亮抄谱记谱的歌谱 猎人进行曲(选自歌剧《自由猎人》),词/曲 [德]F•京德 [德]威柏,演唱 …欢迎免费试听猎人进行曲(选自歌剧《自由猎人》)乐曲,下载歌曲的乐谱与伴奏。《猎人进行曲》文本歌词《猎人进行曲》 [德]F•京德词[德]威柏曲苏群 巫铭译配山中渺无人踪,只有我们打猎喜相逢...
659 猎人进行曲 F•京德 威柏本文分享来自 秋叶起舞 的歌谱 左手军礼,词/曲 赵爱平 施仁明,演唱 冬雪箫航…欢迎免费下载左手军礼乐谱、乐曲、伴奏,《左手军礼》文本歌词不惧狂风,不惧暴雨,勇往直前,一无反顾。冲锋陷阵,无私无畏!雷厉风行,矢志不渝!右臂断了,还有左臂,无怨无悔,问心无愧,挑战极限,自强不息!整装待发,再度出击!...
122 左手军礼 赵爱平 施仁明 冬雪箫航本文分享来自 欧阳祖民 的歌谱 再唱风吹竹叶,词/曲 朱家麒,文治平 欧阳祖民,演唱 …欢迎免费下载再唱风吹竹叶乐谱、乐曲、伴奏,...
1005 再唱风吹竹叶 朱家麒 文治平 欧阳祖民本文分享来自 新人上线 的歌谱 小小慈善树(范修奎词 伍茵曲),词/曲 范修奎 伍茵,演唱 …欢迎免费下载小小慈善树(范修奎词 伍茵曲)乐谱、乐曲、伴奏,...
881 小小慈善树 范修奎 伍茵| 留言与评论(共有 0 条评论) |
