
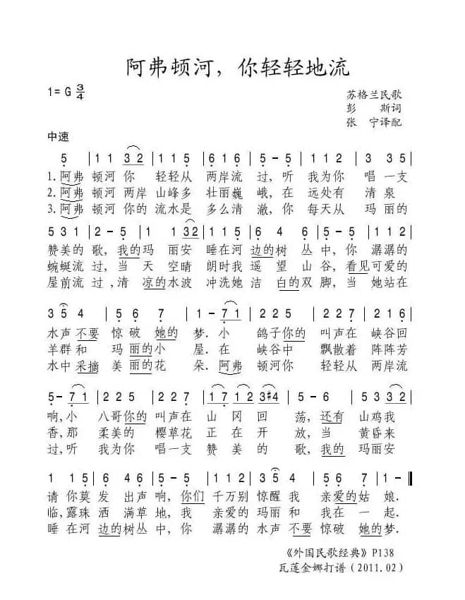
阿弗顿河,你轻轻地流_歌谱投稿_词曲:简谱歌词是曲谱查询网于2023年04月01日 19:18:28更新在曲谱投稿频道中的内容,收录在曲谱投稿栏目中;曲谱查询网分享的阿弗顿河,你轻轻地流_歌谱投稿_词曲:简谱五线谱高清图片,欢迎在线免费下载;曲谱查询网无需注册,即可直接下载海量歌曲谱与乐器学习相关资料。
曲谱查询网收录古今中外海量歌曲谱,如歌曲简谱、乐曲五线谱、PDF乐谱、戏曲谱、器乐相关资源下载等,欢迎查阅!

阿弗顿河,你轻轻地流_歌谱投稿_词曲:简谱歌词是曲谱查询网于2023年04月01日 19:18:28更新在曲谱投稿频道中的内容,收录在曲谱投稿栏目中;曲谱查询网分享的阿弗顿河,你轻轻地流_歌谱投稿_词曲:简谱五线谱高清图片,欢迎在线免费下载;曲谱查询网无需注册,即可直接下载海量歌曲谱与乐器学习相关资料。
本文分享来自 热爱音乐88 的歌谱 我们是新时代的青年,词/曲 李广宇 胡俊成,演唱 …欢迎免费下载我们是新时代的青年乐谱、乐曲、伴奏,选自《胡俊成歌曲选》...
948 我们是新时代的青年 李广宇 胡俊成本文展示由桃李醉春风记谱记谱的歌谱 爱似狂潮,词/曲 林隆璇 王中言,演唱 苏永康…欢迎免费试听爱似狂潮乐曲,下载歌曲的乐谱与伴奏。...
44 爱似狂潮 林隆璇 王中言苏永康本文分享来自 秋叶起舞 的歌谱 你依然是那样伟大,词/曲 王东明 张艺军,演唱 …欢迎免费下载你依然是那样伟大乐谱、乐曲、伴奏,致谢:《曲谱查询网》衷心感谢作者老师馈赠原版歌谱!...
609 你依然是那样伟大 王东明 张艺军本文展示由记谱制谱记谱的歌谱 今生决定不再爱谁(无尽的爱),词/曲 刘家易 刘家易,演唱 尤雅…欢迎免费试听今生决定不再爱谁(无尽的爱)乐曲,下载歌曲的乐谱与伴奏。...
544 今生决定不再爱谁 刘家易 刘家易尤雅本文分享来自 琴溪笔檀 的歌谱 《探阴山》扶大宋锦华以赤心肝胆(杨燕毅演唱),词/曲 ,演唱 …欢迎免费下载《探阴山》扶大宋锦华以赤心肝胆(杨燕毅演唱)乐谱、乐曲、伴奏,...
981 探阴山扶大宋锦华以赤心肝胆本文分享来自 罗扬露 的歌谱 公园的木板凳上,词/曲 罗扬露,演唱 罗扬露…欢迎免费下载公园的木板凳上乐谱、乐曲、伴奏,公园的木板凳上由罗扬露作曲并由罗扬露演奏。MP3试听:https://y.qq.com/n/yqq/song/0040dwHW0Jcnx4.html...
859 公园的木板凳上 罗扬露本文展示由秋叶起舞记谱上传记谱的歌谱 梦一样的土地,词/曲 刘少雄、李海珍 陈小奇,演唱 李思音…欢迎免费试听梦一样的土地乐曲,下载歌曲的乐谱与伴奏。《梦一样的土地》文本歌词是谁把梦带给这片土地梦里群山披上新绿是谁把画绘在这片土地画里河川流淌诗意有一种坚韧叫滴水穿石有一种执著叫人一我十绿树繁花覆盖了...
717 梦一样的土地 刘少雄 李海珍 陈小奇李思音本文分享来自 13601025072 的歌谱 记得你的好DJ,词/曲 王正峰 王正峰,演唱 王正峰…欢迎免费下载记得你的好DJ乐谱、乐曲、伴奏,...
56 记得你的好DJ 王正峰本文展示由欣曲制谱记谱的歌谱 [美] 在山谷地下,词/曲 美国民歌 范志光译配,演唱 …欢迎免费试听[美] 在山谷地下乐曲,下载歌曲的乐谱与伴奏。...
312 美国民歌 范志光译配本文分享来自 张宏笛子 的歌谱 翻身农奴把歌唱(笛子演奏提示版),词/曲 ,演唱 …欢迎免费下载翻身农奴把歌唱(笛子演奏提示版)乐谱、乐曲、伴奏,笛子演奏翻身农奴把歌唱-伴奏+示范+曲谱: https://545c.com/dir/13995422-38660042-229928...
998 翻身农奴把歌唱本文分享来自 秋叶起舞 的歌谱 穆棱河,家乡的河,词/曲 孙玉平 张艺军,演唱 …欢迎免费下载穆棱河,家乡的河乐谱、乐曲、伴奏,致谢:《曲谱查询网》衷心感谢作者老师馈赠原版歌谱!...
905 穆棱河 家乡的河 孙玉平 张艺军本文分享来自 ~金沙浪~ 的歌谱 我们的生活多么幸福,词/曲 ,演唱 佚名…欢迎免费下载我们的生活多么幸福乐谱、乐曲、伴奏,...
959 我们的生活多么幸福 佚名本文分享来自 塞边的沙柳@ 的歌谱 民勤教育之歌,词/曲 李玉寿 李玉寿,演唱 …欢迎免费下载民勤教育之歌乐谱、乐曲、伴奏,...
800 民勤教育之歌 李玉寿| 留言与评论(共有 0 条评论) |
