
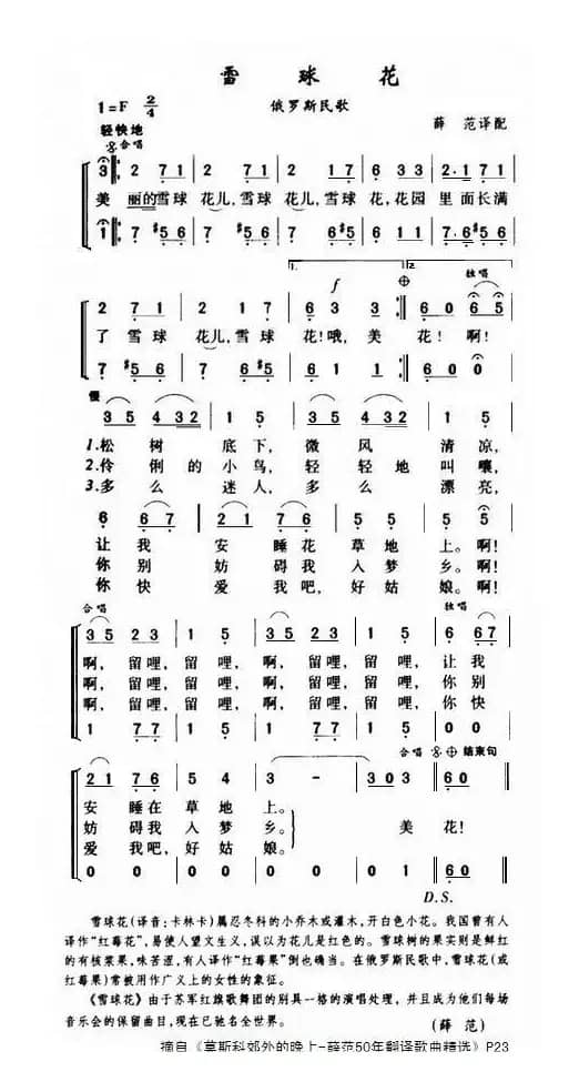
雪球花_歌谱投稿_词曲:简谱歌词是曲谱查询网于2023年03月28日 11:09:33更新在曲谱投稿频道中的内容,收录在曲谱投稿栏目中;曲谱查询网分享的雪球花_歌谱投稿_词曲:简谱五线谱高清图片,欢迎在线免费下载;曲谱查询网无需注册,即可直接下载海量歌曲谱与乐器学习相关资料。
曲谱查询网收录古今中外海量歌曲谱,如歌曲简谱、乐曲五线谱、PDF乐谱、戏曲谱、器乐相关资源下载等,欢迎查阅!

雪球花_歌谱投稿_词曲:简谱歌词是曲谱查询网于2023年03月28日 11:09:33更新在曲谱投稿频道中的内容,收录在曲谱投稿栏目中;曲谱查询网分享的雪球花_歌谱投稿_词曲:简谱五线谱高清图片,欢迎在线免费下载;曲谱查询网无需注册,即可直接下载海量歌曲谱与乐器学习相关资料。
本文分享来自 dyzbx 的歌谱 太阳石之歌(李晶华专辑),词/曲 张海军 李晶华,演唱 …欢迎免费下载太阳石之歌(李晶华专辑)乐谱、乐曲、伴奏,...
951 太阳石之歌 张海军 李晶华本文分享来自 寒 欣 的歌谱 傣家人永远跟着共产党,词/曲 刀爱民 聂思聪 聂思聪,演唱 …欢迎免费下载傣家人永远跟着共产党乐谱、乐曲、伴奏,...
883 傣家人永远跟着共产党 聂思聪本文分享来自 高音教 的歌谱 林俊杰《修炼爱情》吉他谱C调入门版 猴哥吉他教学 高音教编配,词/曲 ,演唱 …欢迎免费下载林俊杰《修炼爱情》吉他谱C调入门版 猴哥吉他教学 高音教编配乐谱、乐曲、伴奏,...
109本文展示由sunzp抄谱记谱的歌谱 打个胜仗笑哈哈,词/曲 沈西蒙 沈亚威,演唱 李双江…欢迎免费试听打个胜仗笑哈哈乐曲,下载歌曲的乐谱与伴奏。...
202 打个胜仗笑哈哈 沈西蒙 沈亚威李双江本文分享来自 落红 的歌谱 幸福的道路越走越宽广,词/曲 杨荣明 桑楠,演唱 龚爽…欢迎免费下载幸福的道路越走越宽广乐谱、乐曲、伴奏,...
603 幸福的道路越走越宽广 杨荣明 桑楠 龚爽本文分享来自 hnll001 的歌谱 老百姓心里有杆秤(豫剧《焦裕禄》唱段),词/曲 ,演唱 贾文龙…欢迎免费下载老百姓心里有杆秤(豫剧《焦裕禄》唱段)乐谱、乐曲、伴奏,...
682 老百姓心里有杆秤 贾文龙本文分享来自 秋叶起舞 的歌谱 草原绿了(宋宇春词 何启安曲),词/曲 宋宇春 何启安,演唱 …欢迎免费下载草原绿了(宋宇春词 何启安曲)乐谱、乐曲、伴奏,...
416 草原绿了 宋宇春 何启安本文分享来自 胡公川 的歌谱 情意深长,词/曲 马婵娟 胡公川,演唱 …欢迎免费下载情意深长乐谱、乐曲、伴奏,《情意深长》文本歌词词作者 洛阳市孟津县纪检委...
692 情意深长 马婵娟 胡公川本文展示由sunzp制谱记谱的歌谱 祝你生日快乐(周威词 刘雁西曲),词/曲 周威 刘雁西,演唱 朱逢博…欢迎免费试听祝你生日快乐(周威词 刘雁西曲)乐曲,下载歌曲的乐谱与伴奏。...
778 祝你生日快乐 周威 刘雁西 朱逢博本文展示由Z.E.Z.记谱制作记谱的歌谱 白杨树 你看到了什么,词/曲 石顺义 张伟,演唱 刘和刚…欢迎免费试听白杨树 你看到了什么乐曲,下载歌曲的乐谱与伴奏。《白杨树 你看到了什么》文本歌词白杨树你看到了什么演唱 刘和刚白杨树一棵棵,你鼓掌他唱歌,踮起脚尖四下望,噢,你看到了什么?看到西行的车辆一...
647 石顺义 张伟 刘和刚本文分享来自 a65427421 的歌谱 泪蛋蛋掉进酒杯杯里,词/曲 ,演唱 野强强…欢迎免费下载泪蛋蛋掉进酒杯杯里乐谱、乐曲、伴奏,...
996 泪蛋蛋掉进酒杯杯里 野强强本文展示由桃李醉春风记谱记谱的歌谱 亲爱的我想你了,词/曲 刘国宏 徐志强,演唱 李羽龙…欢迎免费试听亲爱的我想你了乐曲,下载歌曲的乐谱与伴奏。...
180 亲爱的我想你了 刘国宏 徐志强李羽龙| 留言与评论(共有 0 条评论) |
