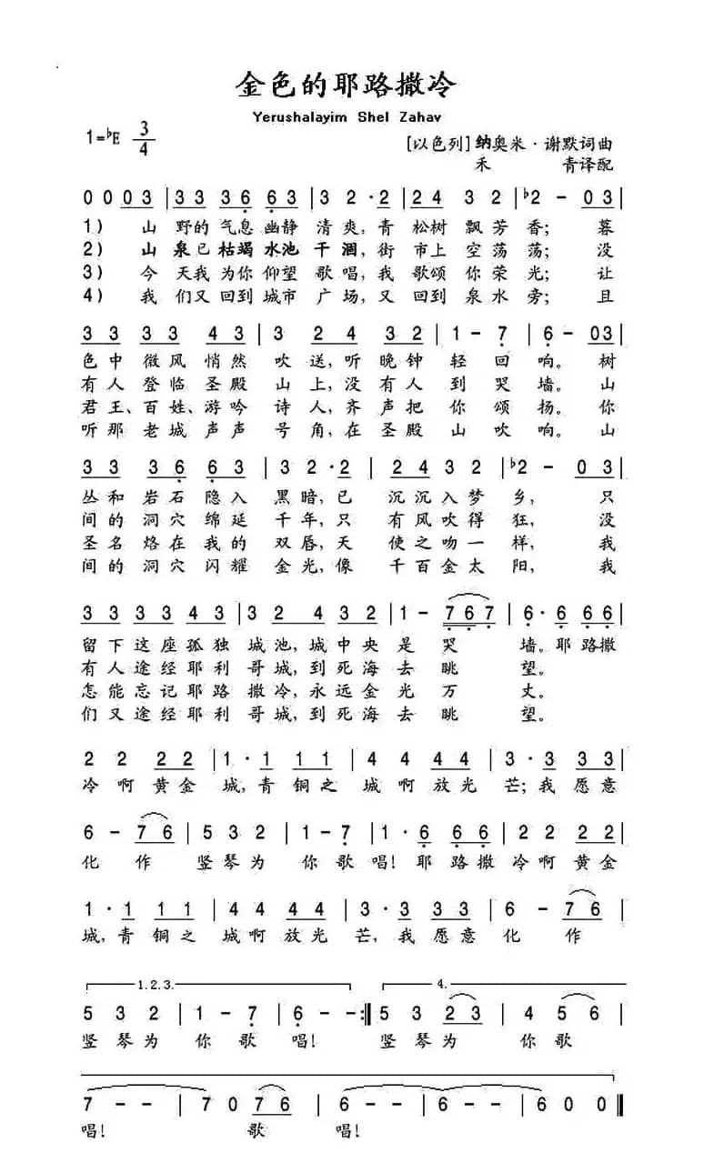
![[以色列]金色的耶路撒冷](http://img1.qpcxw.com/uploads/images/yuepu/011/vnaitchs2oi.webp)
[以色列]金色的耶路撒冷_歌谱投稿_词曲: 禾青 译配简谱歌词是曲谱查询网于2023年03月26日 08:10:34更新在曲谱投稿频道中的内容,收录在曲谱投稿栏目中;曲谱查询网分享的[以色列]金色的耶路撒冷_歌谱投稿_词曲: 禾青 译配简谱五线谱高清图片,欢迎在线免费下载;曲谱查询网无需注册,即可直接下载海量歌曲谱与乐器学习相关资料。
曲谱查询网收录古今中外海量歌曲谱,如歌曲简谱、乐曲五线谱、PDF乐谱、戏曲谱、器乐相关资源下载等,欢迎查阅!
![[以色列]金色的耶路撒冷](http://img1.qpcxw.com/uploads/images/yuepu/011/vnaitchs2oi.webp)
[以色列]金色的耶路撒冷_歌谱投稿_词曲: 禾青 译配简谱歌词是曲谱查询网于2023年03月26日 08:10:34更新在曲谱投稿频道中的内容,收录在曲谱投稿栏目中;曲谱查询网分享的[以色列]金色的耶路撒冷_歌谱投稿_词曲: 禾青 译配简谱五线谱高清图片,欢迎在线免费下载;曲谱查询网无需注册,即可直接下载海量歌曲谱与乐器学习相关资料。
本文分享来自 姜延辉君 的歌谱 爱自己一次,词/曲 雨柔 姜延辉,演唱 姜延辉…欢迎免费下载爱自己一次乐谱、乐曲、伴奏,...
82 爱自己一次 雨柔 姜延辉本文展示由桃李醉春风记谱记谱的歌谱 沉香(谢迪词 沙宝亮曲),词/曲 谢迪 沙宝亮,演唱 沙宝亮…欢迎免费试听沉香(谢迪词 沙宝亮曲)乐曲,下载歌曲的乐谱与伴奏。...
417 沉香 谢迪 沙宝亮沙宝亮本文展示由神仙姐姐记谱记谱的歌谱 今夜又搁为你醉,词/曲 张锦华 张锦华,演唱 张秀卿…欢迎免费试听今夜又搁为你醉乐曲,下载歌曲的乐谱与伴奏。...
373 今夜又搁为你醉 张锦华 张秀卿本文展示由秋叶起舞 记谱上传记谱的歌谱 红旗(苏虎词 张胜曲),词/曲 苏虎 张胜,演唱 戴玉强…欢迎免费试听红旗(苏虎词 张胜曲)乐曲,下载歌曲的乐谱与伴奏。《红旗》文本歌词红 旗苏 虎词 张 胜曲记得那时候我还很小,爱看你在天上随风舞蹈,你那火红火红的样子,陪着我一起慢慢长高。自从你成为...
631 红旗 苏虎 张胜 戴玉强本文分享来自 作词何德林 的歌谱 我跟奶奶包汤圆(何德林词 许德清曲、少儿歌曲),词/曲 何德林 许德清,演唱 …欢迎免费下载我跟奶奶包汤圆(何德林词 许德清曲、少儿歌曲)乐谱、乐曲、伴奏,...
850 我跟奶奶包汤圆 何德林 许德清本文展示由天恩记谱记谱的歌谱 阳春三月去江南(电视片《中国古镇·江南篇》主题曲),词/曲 魔笛 魔笛,演唱 …欢迎免费试听阳春三月去江南(电视片《中国古镇·江南篇》主题曲)乐曲,下载歌曲的乐谱与伴奏。...
18 阳春三月去江南 魔笛本文展示由棺材瓤子记谱记谱的歌谱 梦中想着你,词/曲 阿郎 阿郎,演唱 门丽…欢迎免费试听梦中想着你乐曲,下载歌曲的乐谱与伴奏。...
957 梦中想着你 阿郎门丽本文分享来自 秋叶起舞 的歌谱 萝卜、白菜,话里、话外,词/曲 张守旗 张艺军,演唱 …欢迎免费下载萝卜、白菜,话里、话外乐谱、乐曲、伴奏,致谢:《曲谱查询网》衷心感谢作者老师馈赠原版歌谱!...
830 张守旗 张艺军本文分享来自 渝ysw9825 的歌谱 人间第一情(张也演唱),词/曲 易茗 刘青,演唱 张也…欢迎免费下载人间第一情(张也演唱)乐谱、乐曲、伴奏,根据QQ音乐提供的张也KTV演唱版记谱、整理。...
239 人间第一情 易茗 刘青 张也本文展示由神仙姐姐记谱记谱的歌谱 对不起(金碧芙蓉词 电声乐曲),词/曲 金碧芙蓉 电声乐,演唱 摘不到的星星…欢迎免费试听对不起(金碧芙蓉词 电声乐曲)乐曲,下载歌曲的乐谱与伴奏。...
808 对不起 金碧芙蓉 电声乐摘不到的星星| 留言与评论(共有 0 条评论) |
